
-
CFA三级
包含CFA三级传统在线课程相关提问答疑;
专场人数:1512提问数量:40434
第10章课后题第7题。正确答案说明政府采取了积极的财政政策,增加了财政赤字。其中,转移支付属于福利支出,是政府支出的一部分。它的增加表明了政府支出的增加。但“more progressive tax regime”为什么代表了政府收入(税收)的减少呢?progressive tax的意思是累进制课税,而“更加累进制的课税”,是说边际税率的分级数量增加了吗?
第10章课后题第2题。在分析师预测未来经济走势的方法中,经济指标法和问卷调查法的缺点里都有“不一致性”,但经济指标法中的“不一致性”不包括不同时间点进行预测产生的不一致,因为所有指标都是先行指标,其不一致性表现为不同指标预测结果的不一致。而问卷调查法中的不一致性则包括在不同时间点进行调查时,结果的不一致。可以这么理解吧?
老师,reading25最后一个case里有几个问题:1:gross exposure怎么理解,比如long50%short50%的话,gross exposure是100%吗,是看多头和空头的绝对值加总吗还是不用取绝对值加总看总敞口,long150%short50%这种的gross exposure是200%还是100%呢。2、计算CV的时候,上一个case就需要计算在总risk的占比,这个case就只计算了值没有计算占比,这个怎么确定计算到什么程度呢,这个case第12题也让求的是proportion呀。3、这个case的最后一题,原版书课后题题目和答案好像不太一样,不参与因子择时,构建分散化组合不就是量化的方法吗?答案说的是构建集中的组合因此是基本面方法,不知道哪里出了问题。4、top down/botton up和量化/基本面都叫做组合管理方法吗,一般说管理方法的时候是指哪种分类呢?谢谢老师
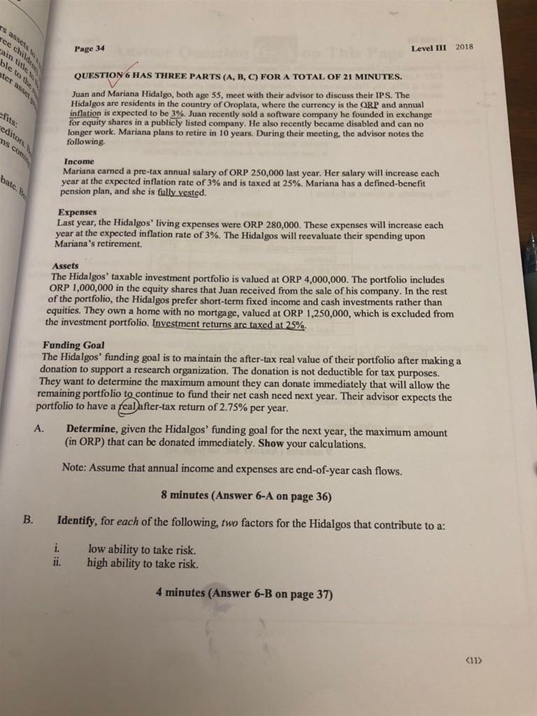
已回答关于a,我有疑问,两个 第一,2.75%是real return,不是应该加上通货膨胀3%等于5.75%才是投资目标吗? 第二,零时点,工资收入无法覆盖支出,有缺口,这个缺口不是应该从4000000的portfolio中扣除吗?
这张图中表示,宽松的货币政策会导致更高的预期通胀率,进而令名义利率上升。但在yield curve部分的讨论中,老师提到宽松的货币政策会令短期利率下降。这两者是否构成了矛盾?亦或是因为yield curve中的利率是实际利率而非名义利率?
老师,我有个概念理解不了,b问题。去世的是两个人中的一个,并不是全去世了,为什么按照法定比例分割给孩子的时候,计算出发是从两个人所有财产开始?按照概念,是不是应该从去世的Emma的个人资产作为计算的出发点呢?
获得Tax advantage有四种方法,合适的asset allocation,time selection,tax loss harvesting 等; 避税有五种方法,比如generation skipping,成立信托,购买insurance,spousal exemption,valuation discount这些。 想问下这两者有什么区别和联系,我觉得后者天然会产生tax advantage,答题的时候不知道如何根据关键词选择对应的solution,很容易搞混,请老师指点。
已回答精品问答
- 老师,给最新的信息更高权重为什么不是availability bias呢?
- 第5题,从经济学公式X-M=(S-I)+(T-G)来看,如果经常账户赤字增加,不是意味着该国投资大于储蓄,或政府支出大于税收么,那么整体环境应该是好的,应该有利于资本的流入吧?为什么答案是反过来去赤字减少或盈余的国家呢?
- 她对个人笔记本电脑(personal laptop)进行了完整备份(full backup),并确保备份前已删除所有公司文件(all company files removed)。 目的:确保新备份中不包含任何前公司数据,避免合规风险。 遗留问题: 硬盘上的旧备份(previous backups)仍包含公司文件。 她不想因删除旧备份而丢失个人文件的备份历史(backup history for personal files)。 针对上述分析我有个疑惑,这个人不是已经在自己笔记本上备份了drive上的个人信息吗,怎么又Not wanting to lose the backup history for her personal files呢?他不是已经把自己的私人信息备份了吗!?
- 这里第二题的意思是三种方法都适用吗?没太理解,能否在讲解下
- 老师第二题 假设激励费的费率都一样 是不是soft会比hard好很多对于GP来说 GP会赚多得多的钱?
- 到底该怎么判断一类和二类错误?做的题目解答标准不一致啊,我看到另一道题的版本是 - 一类错误是做了错的事,二类是没做对的事。现在这一题,对于不合格的经理不采取行动,不就是二类错误 - 没做对的事吗?
- 第二题答案上说的是smaller difference,选项c是wider dispersion 是不是题出错了
- 关于什么时候用IRR 、MOIC











