
-
CFA三级
包含CFA三级传统在线课程相关提问答疑;
专场人数:1519提问数量:40621
老师好,这道题的正文描述 A goal that the overall stock portfolio should consist of mature companies that have stable net incomes and high dividend yields 都指向是基本面良好和大盘股的公司,反而B和C选项看起来是正确的,但是选的是factor base, 为什么啊
老师,你好,关于原版书课后题reading10的第34题,按照原版书的讲解,delgado应该一开始是short USD forward.但是我有一个点不理解,delgado一开始是持有美元外汇,他是担心美元下跌才需要对冲外汇风险,如果选择forward作为对冲工具,那么是不是应该考虑外汇的报价形式呢,如果是EUR/USD,那么应该就是short;而如果是USD/EUR,那么合约是涨价更不利,所以应该是long forward?对于持有外汇资产,未来需要将外汇换成本币,担心外汇资产下跌,在选择是long or short头寸之前,是不是还应该考虑外汇的报价方式是直接还是间接呢?
已回答精品问答
- 老师,给最新的信息更高权重为什么不是availability bias呢?
- 她对个人笔记本电脑(personal laptop)进行了完整备份(full backup),并确保备份前已删除所有公司文件(all company files removed)。 目的:确保新备份中不包含任何前公司数据,避免合规风险。 遗留问题: 硬盘上的旧备份(previous backups)仍包含公司文件。 她不想因删除旧备份而丢失个人文件的备份历史(backup history for personal files)。 针对上述分析我有个疑惑,这个人不是已经在自己笔记本上备份了drive上的个人信息吗,怎么又Not wanting to lose the backup history for her personal files呢?他不是已经把自己的私人信息备份了吗!?
- 老师第二题 假设激励费的费率都一样 是不是soft会比hard好很多对于GP来说 GP会赚多得多的钱?
- 第二题答案上说的是smaller difference,选项c是wider dispersion 是不是题出错了
- 2022 mock A上午部分,第4题的BC 两问,答案不怎么明白。
- 能否从定义出发解释下CDS price是什么?为什么要这样计算?它在实操中怎么用?
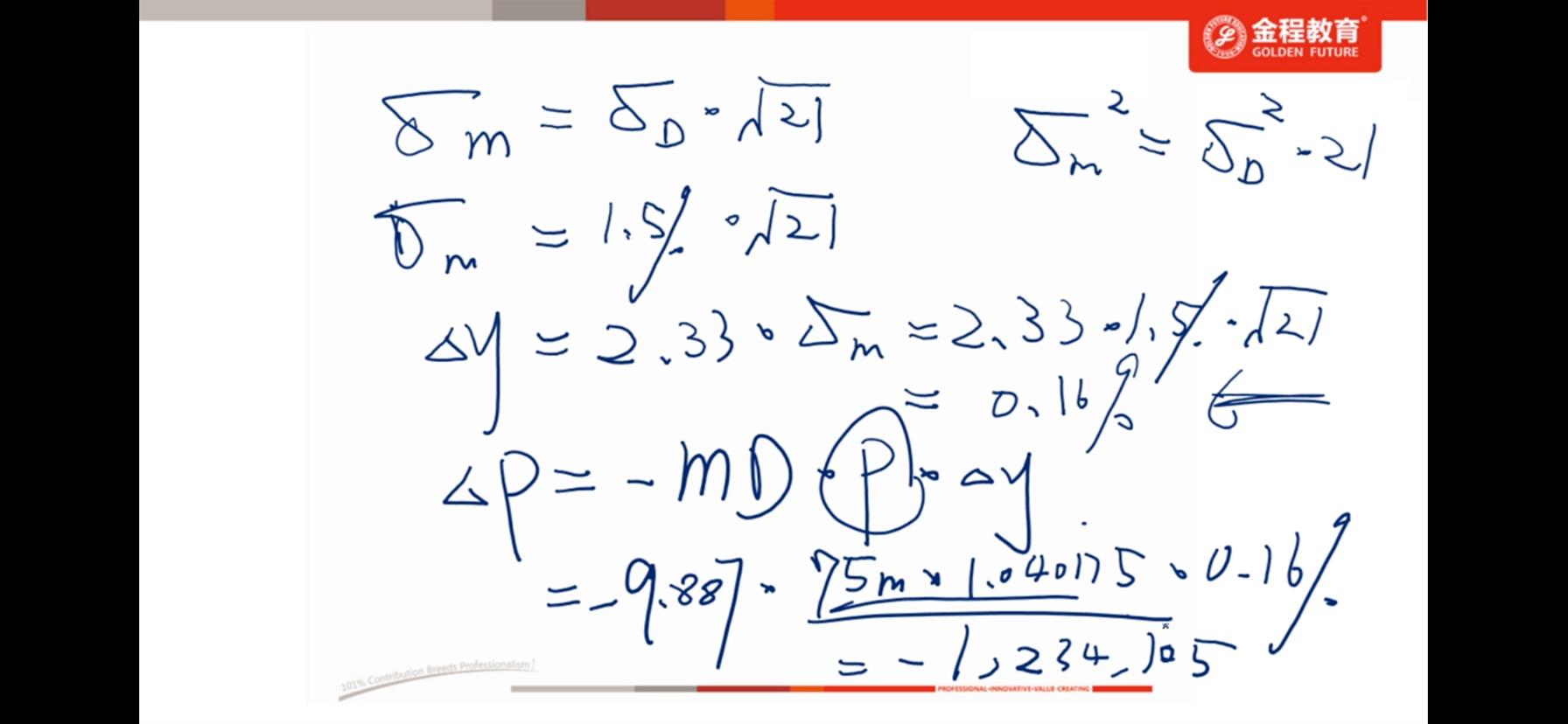
- 这道题约掉百分号我觉得是错误的,因为如果把百分号带入进去,实际结果比题目中的结果大100倍,原版书课后题P106页,我算出来答案是43287,可是结果是4317774,请问我可否说原版书出题不严谨?
- 老师,请详细讲解一下该科目LM3课后题的Q16,我主要对forward rate bias不太理解,谢谢。









