
-
CFA二级
包含CFA二级传统在线课程、通关课程及试题相关提问答疑;
专场人数:2459提问数量:55627
老师好!请问衍生课后题第二题第二问里,一个三年的swap,bank“......enter into one year ago as the pay-fixed ( received floating) party”,这里我搞不清楚小t的时间点,bank一年前进入这个合约,小t从t=1开始,我咋搞不明白这个时间点,我怎么感觉小t是从-1开始。弄不清楚,请老师讲一下,谢谢!
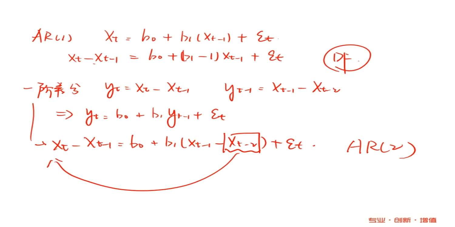
讲义中一阶差分,不能用DW检验,因为自变量含有过去因变量,即有lag项。 在前面的LM3序列相关中,DW可以用来检验first order ,而没有强调是否有lag项,这个是否存在矛盾?按照本章时间序列的理解,前面章节的序列相关,DW只能检验残差无lag且只能first order, 请帮忙解释,谢谢!
精品问答
- Growth due to capital deepening 是αΔK/K还是ΔK/K
- 请老师讲解一下这个题目
- 老师,第三题答案的意思是:1.因为宽松的货币政策,导致加元利率下跌,导致加元贬值?2.但是,如果利率下跌,也就是分母上的百分比下降,不是会导致价格上升吗?。3.从而短期看是depreciation,但是长期来看,会回归到均值,所以是appreciation?
- 很迷惑到底是long call+ short stock还是long stock+short call构建无风险资产
- 这道题可不可以用算出来的fpa除以0.9算出的价格和125比较,得出的差额是套利的利润?
- 不太明白为什么AI0 20 加上后 后面AIT 是减50, 为什么要重复计算0~T=2 这段的coupon?
- 第4题 讲义没有讲到,能在详细讲一下吗
- 这题为什么是选C?










