
-
FRM一级
包含FRM一级传统在线课程、通关课程及试题相关提问答疑;
专场人数:3416提问数量:63536
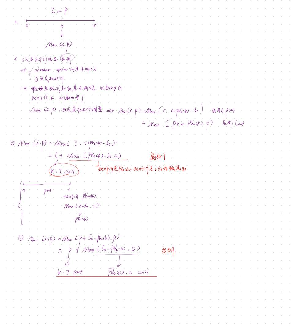
always并不是绝对描述,字面理解为大多数情况下。而B如果是错的,只在long ITM European put option的场景下,这样来看,仍然是大多数情况下B都是成立的啊?
查看试题 已回答
包含FRM一级传统在线课程、通关课程及试题相关提问答疑;
专场人数:3416提问数量:63536always并不是绝对描述,字面理解为大多数情况下。而B如果是错的,只在long ITM European put option的场景下,这样来看,仍然是大多数情况下B都是成立的啊?
查看试题 已回答