天堂之歌

听歌而来,送我踏青云〜

FRM一级

FRM一级

包含FRM一级传统在线课程、通关课程及试题相关提问答疑;

专场人数:3411提问数量:63380

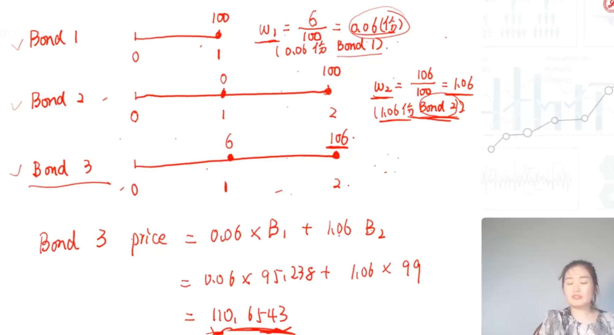
老师在讲option sensitivity measure这部分,讲解完greek letters 过后,在讲portfolio这部分, 提到了forward delta

已回答

之前讲的是否行权和当时的股票价格和执行价格有关,这里讲的是否行权和分红和无风险收益率有关,我怎么理解这两个方面的说法。

已回答

这里的call的计算中e的指数中的时间的数字是不是错了?应该是0.5才对吧?

已回答

我记得查表的时候是标准状态分布表,这里不是标准正态分布啊?不是标准正态分布(Z)的时候,怎么查表???

已解决

公式里面的K是什么?有什么含义? 为什么讲解的时候说当成100块钱?这个打比方对我理解这个公式没有意义啊,实际在用的时候我仍然不知道这里的K到底是啥啊?

已回答

Delta会随着基础资产价格的变化来衡量期权价格的变化。 具有高内在价值和较短到期时间的期权的delta值将接近于1,而gamma,rho和vega都将接近于零。 为什么rho会接近于0

查看试题 已回答

完全听不懂这一页要干什么? 能不能多几个老师的讲课来对比选择一下啊?

已回答

股票价格取对数为什么就变成股票收益率了???

已回答

老师在讲option sensitivity measures的时候,有一部分讲解gamma neutral的例题,请问这个gamma needed position,gamma=6000,是什么意思呢? 这种头寸的特点是什么呢?6000怎么计算的呢?

已回答

这道题出自哪个部分的内容?我怎么感觉我没有学过呢?另外请详细讲述一下什么是Δ,对冲Δ是什么意思?

查看试题 已解决

精品推荐

400-700-9596
(每日9:00-21:00免长途费 )

©2026金程网校保留所有权利

X

注册金程网校

验证码

同意金程的《用户协议》
直接登录:

已有账号登录