
-
CFA三级
包含CFA三级传统在线课程相关提问答疑;
专场人数:1541提问数量:41000
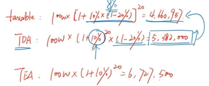
老师好 百题case 2 第三题 文章中提到$15,000的statutory allowances 这个限制条件为什么没用?至少这部分的gift不用被tax吧?为什么答案里这部分也算tax了 感觉分子gift应该分两部分 缴税(1-tg)*85% + 不交税 就 *1 然后 再乘以 (1+rg(1-t))^20; 然后第四题其余两个选项为什么不对?谢谢
已回答老师好 请问百题case1 第5题 statement 3不是很理解。“if Janice were to add a 10-yr period certain option to her annuity, her income yield would be reduced when compared to not having the option, but it would be reduced by greater amounts the longer she waits to purchase the annuity" 为什么income yield 会下降?为什么越晚降得越多。谢谢
已回答R27第31题,Aspen的描述中是不是还有另外一个问题,“We pursue a passive investment strategy, which seeks to identify and exploit structural inefficiencies through identifying mispricings created by loss aversion”这里mispricings created by loss aversion 应该是behavioral inefficiencies 吧?书上说:“Behavioral inefficiencies are perceived mispricings created by the actions of other market participants, usually associated with biases, such as trend following or loss aversion. These inefficiencies are temporary, lasting long enough for the manager to identify and exploit them before the market price and perceived intrinsic value converge. Structural inefficiencies are perceived mispricings created by external or internal rules and regulations. These inefficiencies can be long lived and assume a continuation of the rules and regulations rather than a convergence.”
精品问答
- liability relatibe asset allocation这三种方式的区别是什么呀 怎么区分
- 第5题,从经济学公式X-M=(S-I)+(T-G)来看,如果经常账户赤字增加,不是意味着该国投资大于储蓄,或政府支出大于税收么,那么整体环境应该是好的,应该有利于资本的流入吧?为什么答案是反过来去赤字减少或盈余的国家呢?
- 这里第二题的意思是三种方法都适用吗?没太理解,能否在讲解下
- 到底该怎么判断一类和二类错误?做的题目解答标准不一致啊,我看到另一道题的版本是 - 一类错误是做了错的事,二类是没做对的事。现在这一题,对于不合格的经理不采取行动,不就是二类错误 - 没做对的事吗?
- 关于什么时候用IRR 、MOIC
- 1.这里右侧支付端这段,party A角度他有market value risk时谁有?上下部分矛盾了啊.2.左侧的图和配文是什么意思?原本是什么?又变成什么?3.注意里面:fixed端有
- Risk Budget and risk parity 第二道思考题,里面的Variance是不是完全是个冗余信息,给来误导的呀?
- 老师,给最新的信息更高权重为什么不是availability bias呢?











