
-
FRM一级
包含FRM一级传统在线课程、通关课程及试题相关提问答疑;
专场人数:3415提问数量:63475
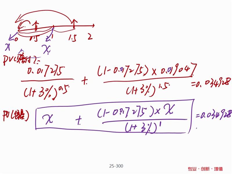
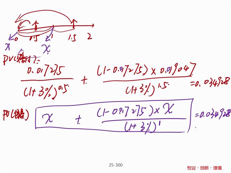
老师,本题对于浮动利率折现到0时刻的价值等于PAR还是不太理解。题干上不是说浮动利率是基于6个月的hibor也就是6.5%吗,也就是0-0.5时刻折现所需的R值是知道的吧,那么为什么还等于面值呢?
查看试题 已回答
包含FRM一级传统在线课程、通关课程及试题相关提问答疑;
专场人数:3415提问数量:63475老师,本题对于浮动利率折现到0时刻的价值等于PAR还是不太理解。题干上不是说浮动利率是基于6个月的hibor也就是6.5%吗,也就是0-0.5时刻折现所需的R值是知道的吧,那么为什么还等于面值呢?
查看试题 已回答