天堂之歌

听歌而来,送我踏青云〜

FRM一级

FRM一级

包含FRM一级传统在线课程、通关课程及试题相关提问答疑;

专场人数:3414提问数量:63382

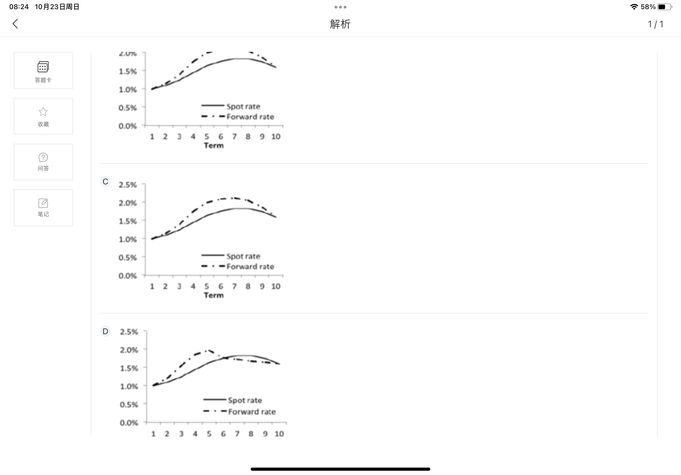
老师,请问这题说upward sploing,这个是关键信息吗?如果是down的话,会对结果产生影响吗

查看试题 已回答

这道题的选项图片和ppt的不一样

查看试题 已回答

针对选项B,从图上看,P(A&B|C)应该是75%吧。A和B 覆盖了C75%的面积呀

查看试题 已回答

the latest不是最新的吗?为什么下角标是n-1

已回答

这个题过程详细解释一下吧 谢谢

已回答

第 8题 A选项 不是 涨多 跌多 么

已回答

这个题看不太懂可以详细解释一下过程吗

已回答

麻烦老师 第 4题 ab选项 解释 一下

已回答

不是要找使利润最大的吗?为什么不找k等于50?

已回答

这道题不太明白,能不能详细解释一下,为什么通过F检验两个模型的R2的差别,能够得出reset model的coefficient是否为零?

查看试题 已解决

精品推荐

400-700-9596
(每日9:00-21:00免长途费 )

©2026金程网校保留所有权利

X

注册金程网校

验证码

同意金程的《用户协议》
直接登录:

已有账号登录