阿同学2022-10-22 22:26:45
这个题过程详细解释一下吧 谢谢
回答(1)
Lucia2022-10-24 18:02:30
同学,你好,https://www.gfedu.cn/home/#/exam/single/q97477/
这道题目有详细的文字解析和视频解析,你具体是哪里没看明白呢?
- 评论(0)
- 追问(2)
- 追问
-
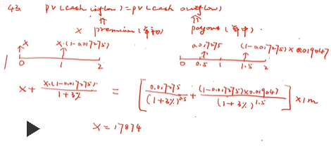
中间这两步都不太明白?还有为什么用0.5年和1.5年?
- 追答
-
同学,你好,就是把第一年不死亡的,第二年死亡获得的赔付折现到0时间,我们假设是在年中发生赔付,分别是0.5年和1.5年
评论
0/1000
追答
0/1000
+上传图片




