天堂之歌

听歌而来,送我踏青云〜

CFA三级

CFA三级

包含CFA三级传统在线课程相关提问答疑;

专场人数:1538提问数量:40962

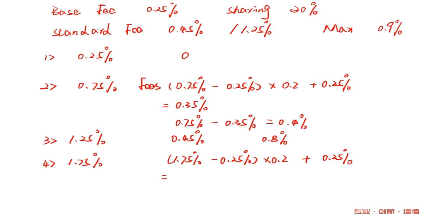
为什么计算总费率的时候不需要加上standard fee呢?

已解决

第一题我这样回答可以吗?Manager B. Compared with Manager A and C, Manager B’s turnover and trading cost is lower, it satisfies Parade’s requirements. 没有强调B是流动性好所以交易成本低,而是直接说结论。

已解决

第六题的做法和ips第108-109页例题的做法不一样呢?哪种是对的?

查看试题 已解决

老师,含有现金比benchmark高,就是Active share高但active risk低对吧

已解决

另外老师讲法跟公式…不太一样。active share从公式看就是权重不同。active risk是factor的beta不同和specific risk。

已回答

老师,直播老师讲的active share是权重不同,来源是成分股权重不同和成分股不同。上课倒是没提过这个成分股不同。意思是组合里含有和Benchmark里不一样的f,也算是active share?

已回答

老师,我忘了之前在哪里看过,说两个国家的real bond yield 最终可能趋同,请问这个说法是否正确来着,为什么?谢谢!

已解决

What is mark up mark down?why retail cannot?

已回答

上市公司給的gift 是完全不能收對吧?

已回答

What is this question verified ? Performance? GIPS?

已回答

精品问答

精品推荐

400-700-9596
(每日9:00-21:00免长途费 )

©2026金程网校保留所有权利

X

注册金程网校

验证码

同意金程的《用户协议》
直接登录:

已有账号登录