天堂之歌

听歌而来,送我踏青云〜

CFA三级

CFA三级

包含CFA三级传统在线课程相关提问答疑;

专场人数:1541提问数量:41000

R20课后题11这里为什么主要看CVAR不是VAR呢,如果一旦损失20%那就会立马trigger的吧?

已解决

statement 2 short stock 加 long call 就是long Vega嘛?这个是不是还需要算整个组合的Vega呢?

已回答

这一节的butterfly和上一节是不是有冲突,上一节的positive butterfly是concave如图二,为什么图形和这一节的不一样如图一,刚好反了

已回答

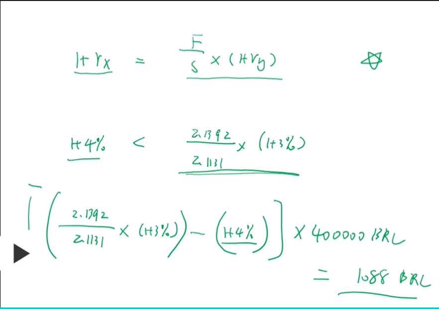
老师好,之前有同学提到这道题了,所以是需要勘误对吧?应该不存在月波动率*年化收益率3%的情况。

已回答

老师,R3例题7,一年的计算,它是含在20个月内的constraction,且离20月也不算近,为什么不用-2%计算,而要用1.5%呢

已解决

老师,您好,原版书alternative investment reading reading 20的example 6,能否解答下解题思路,原版书的答案表述看的不是很明白。

已回答

老师,R3例题5第一问,为什么就单独讲P/E每年升0.95%就高了呢?其他指标更高,每年升那么多不算高吗?另外,67%是什么来的,怎么算出来的?

已解决

另类example的BAMfund那道题,波动性是负数为什么在正常市场情况下是short volatility呢?还有为什么这里是imply他对空头头寸sellput?

已回答

R23中guaranteed insurability rifer条款,Jcy老师讲解习题是说的是可续保条款,且保费不变。而冲刺笔记上写的是支付更多保费。这个条款应该怎么理解呢

已回答

请问第三题为什么c不对?

已解决

精品问答

精品推荐

400-700-9596
(每日9:00-21:00免长途费 )

©2026金程网校保留所有权利

X

注册金程网校

验证码

同意金程的《用户协议》
直接登录:

已有账号登录