
-
CFA二级
包含CFA二级传统在线课程、通关课程及试题相关提问答疑;
专场人数:2461提问数量:55630
第四题,怎么判断是net asset exposure, 而不是net liability exposure, 解析比较牵强,默认是net asset exposure, 题目有提到 The company has been very profitable, and it recently financed a renewal of its fleet of seaplanes with CAD-denominated long-term debt.。 题干提到current year 的 exposure 是什么,今年新增了debt, 应该是net liability exposure 吧?
查看试题 已解决精品问答
- Growth due to capital deepening 是αΔK/K还是ΔK/K
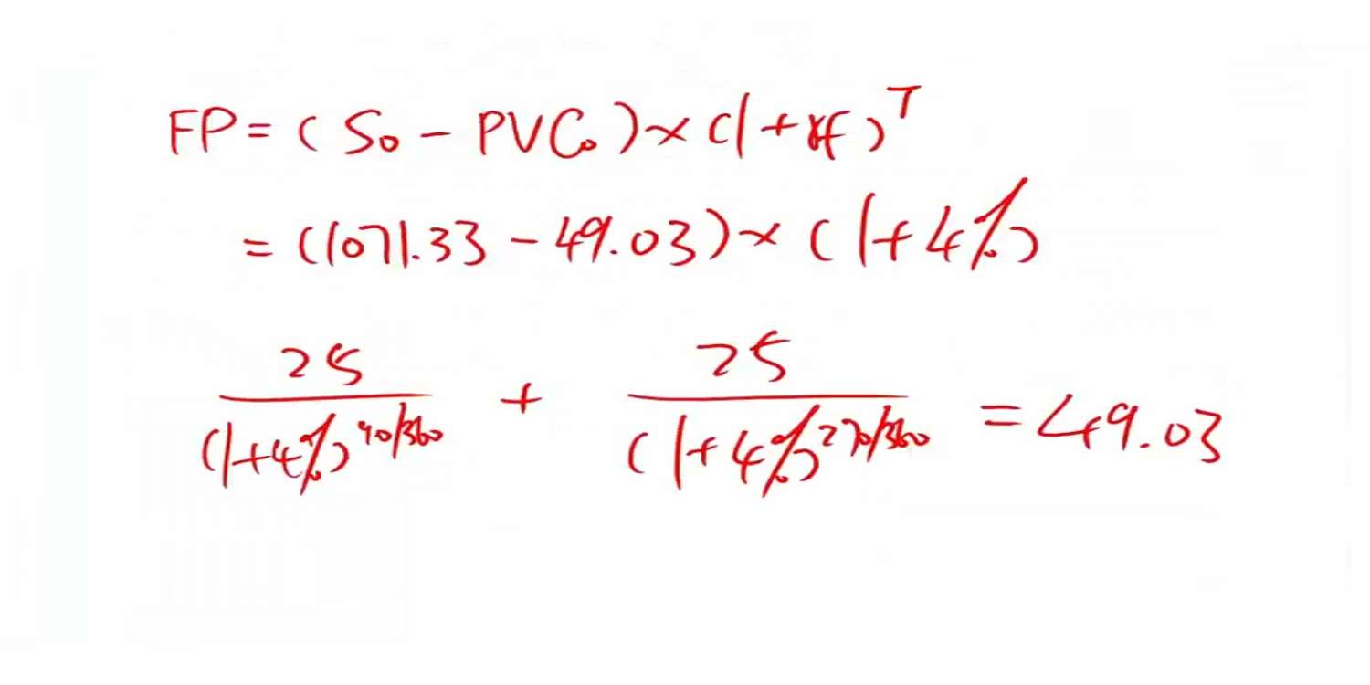
- 这题为什么是选C?
- 请老师讲解一下这个题目
- 老师,第二题可以在解释一下原理吗?
- 老师,第三题答案的意思是:1.因为宽松的货币政策,导致加元利率下跌,导致加元贬值?2.但是,如果利率下跌,也就是分母上的百分比下降,不是会导致价格上升吗?。3.从而短期看是depreciation,但是长期来看,会回归到均值,所以是appreciation?
- CDS的long和short是不是反过来的?就是long CDS代表看涨目标公司credit,所以是卖出一份CDS合约?
- 很迷惑到底是long call+ short stock还是long stock+short call构建无风险资产
- 为啥accrued interest over contract life是0?






