
-
CFA二级
包含CFA二级传统在线课程、通关课程及试题相关提问答疑;
专场人数:2448提问数量:55548
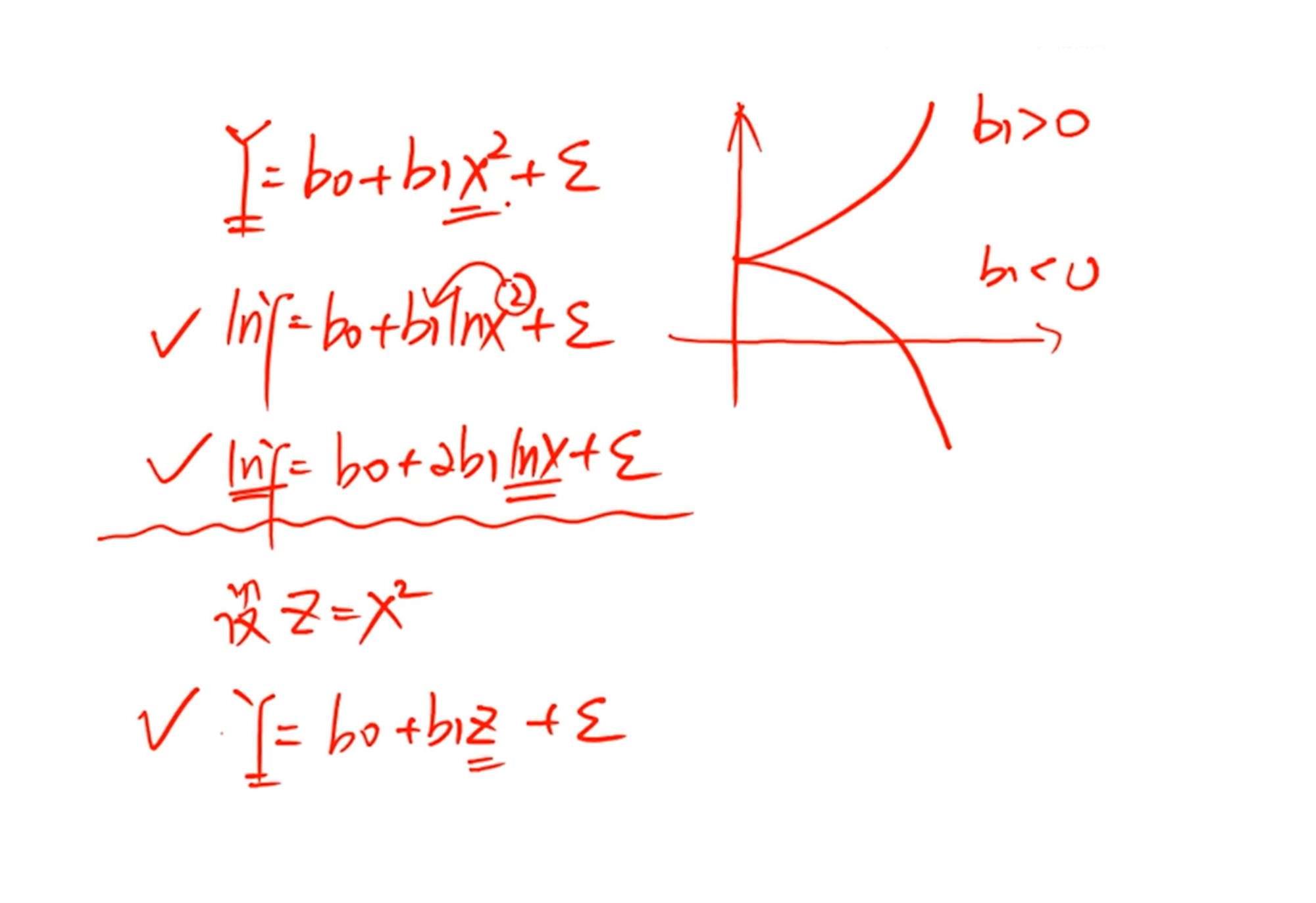
老师,significance F就是F-value,就是表格里的数字0,就是F-test里的F-statistic,就是用MSR/MSE计算出来的,这些理解对吗?此外,讲义上不是用F-statistic和Falpha做大小比较吗,为何这里可以用Significance F和0.05做比较呢?0.05具体点描述是什么概念?谢谢老师!
查看试题 已回答我看其他同学提问:为什么?If the consensus inflation forecast is unbiased, then the intercept, b0, should equal 0, and the slope coefficient, b1, should equal 1.老师回答:你好,因为根据exhibit 1中可以看到intercept系数接近于0,而slope的系数接近于1,所以可以通过计算斜率和截距的t检验值,(regression coefficient—检验值)/sb,这里的检验值分别带入0,1以及对应的回归系数,标准误。如果计算出来t检验值大于t关键值,则拒绝原假设(截距不为0,斜率不为1),证明如果回归结果是无偏的,则截距是0,斜率为1。我不理解:slope的系数接近于1是从哪里体现出来的?intercept系数接近于0指的是表格里Intercept Coefficients=0.0001这部分吗?谢谢老师!
查看试题 已回答精品问答
- Growth due to capital deepening 是αΔK/K还是ΔK/K
- 这题为什么是选C?
- 请老师讲解一下这个题目
- 老师,第二题可以在解释一下原理吗?
- 老师,第三题答案的意思是:1.因为宽松的货币政策,导致加元利率下跌,导致加元贬值?2.但是,如果利率下跌,也就是分母上的百分比下降,不是会导致价格上升吗?。3.从而短期看是depreciation,但是长期来看,会回归到均值,所以是appreciation?
- CDS的long和short是不是反过来的?就是long CDS代表看涨目标公司credit,所以是卖出一份CDS合约?
- 很迷惑到底是long call+ short stock还是long stock+short call构建无风险资产
- 为啥accrued interest over contract life是0?







