
-
CFA二级
包含CFA二级传统在线课程、通关课程及试题相关提问答疑;
专场人数:2448提问数量:55548
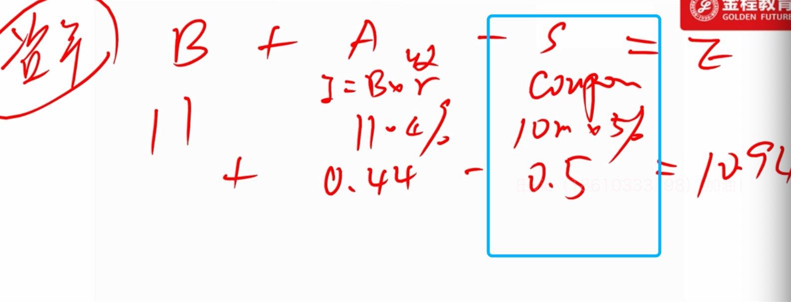
第21页PPT,设备是20X7年1月份购买的,价格20000元;为什么07年1月1日的资产负债表上FV就成了30000元呢,这样来看,折旧年限应该依然是5年,而不是4年啊。如果折旧年限是4年,也就是PP&E的FV是30000元的时候,应该是07年12月31日的价值,而且折旧是后面的成本,为什么要调整07年当年的收益呢?
精品问答
- Growth due to capital deepening 是αΔK/K还是ΔK/K
- 这题为什么是选C?
- 请老师讲解一下这个题目
- 老师,第二题可以在解释一下原理吗?
- 老师,第三题答案的意思是:1.因为宽松的货币政策,导致加元利率下跌,导致加元贬值?2.但是,如果利率下跌,也就是分母上的百分比下降,不是会导致价格上升吗?。3.从而短期看是depreciation,但是长期来看,会回归到均值,所以是appreciation?
- CDS的long和short是不是反过来的?就是long CDS代表看涨目标公司credit,所以是卖出一份CDS合约?
- 很迷惑到底是long call+ short stock还是long stock+short call构建无风险资产
- 为啥accrued interest over contract life是0?











