天堂之歌

听歌而来,送我踏青云〜

CFA二级

CFA二级

包含CFA二级传统在线课程、通关课程及试题相关提问答疑;

专场人数:2462提问数量:55660

Q1,选项C计算odds的时候不用考虑intercept的数值吗?

查看试题 已解决

为什么tracking error就是active risk

查看试题 已回答

第五时间点的数字是怎么来的呢?

已回答

第四题pay fix 为什么不是an annual interest rate of 5%, paid semi-annually.

查看试题 已解决

172的股数只有母公司的,那被收购公司的股份数呢

查看试题 已解决

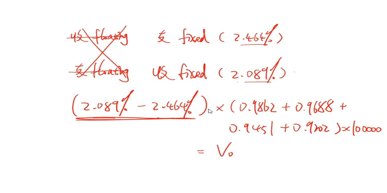
表1不是说1FB=4.2374NVK吗,为什么最后一题3M NVK换算过来不是3/4.2374的FB

已回答

截图中的最后一行文字,方程中为什么还要再加入x1和x2呢?既然是检查两个残差之间的关系,直接看p1就不就行了吗?不理解这是什么道理?

已回答

请问现金股利 股票股利 股票拆分 分别对EPS R/E P/E market value有什么影响?我有点分不清

已解决

不管盈利还是亏损,远期合约都是浮盈和浮亏,只有最后才知道整体盈利和亏损,中间每日价格波动的收益或亏损不会累加到账户,所以无法判断。期货合约每日有价格,如果结算掉当日就是真正盈利或亏损了,如果没有结算,第二日还会变动,所以这里无法判断啊

已回答

此处也会选择3个月对冲是3个月后再买吗

已回答

精品推荐

400-700-9596
(每日9:00-21:00免长途费 )

©2026金程网校保留所有权利

X

注册金程网校

验证码

同意金程的《用户协议》
直接登录:

已有账号登录