
-
FRM二级
包含FRM二级传统在线课程、通关课程及试题相关提问答疑;
专场人数:1658提问数量:32347
老师,A选项, screen potential employees 怎么理解?难道不是第一道防线的所有员工都应该对洗钱风险进行初筛吗?为什么要筛选潜在employee呢?意思是说在第一道防线对洗钱风险的识别是需要专人来做的吗?请具体讲解一下,谢谢。
查看试题 已解决老师,这个地方的统计量检验为什么用sharpe ratio啊?t-statistic分子是α,他是跟benchmark去比的,分母是SE,那也不是这里的standard deviation of a benchmark portfolio吧(虽然我知道也没别的方法了,但是还是有点没想明白
老师,1. 这道题四个选项说的都是事后的return与volatility的关系吗?也就是风险异象了?2.price of risk 是风险溢价吗?也就是return了?所以波动率跟price of risk是negative的?
老师你好,即使假设均值为0,分子和分母的也不能约掉呀,分子是s*a,a表示持有的dollar amount不是吗;分母中的VaR计算,是sigma*alpha,alpha表示置信水平,这咋能约呢?
查看试题 已回答精品问答
- 不理解这里为什么Risk Chaampions & Business-Line Managers 负责monitor Operational Risk Function Operational Risk Committee 负责act 难道不应该是一线业务人员负责act,然后上一级负责monitor更贴切嘛
- 可以帮我罗列一下二级case 常考的时间和原因结果m
- 请问selection bias 与 self-selection bias 有什么区别?我看到一个老师回复的是:不同个体选择样本不同,这就是自选择偏差,是不同个体本身固有的差异。请问这里的不同个体是指不同的人吗?
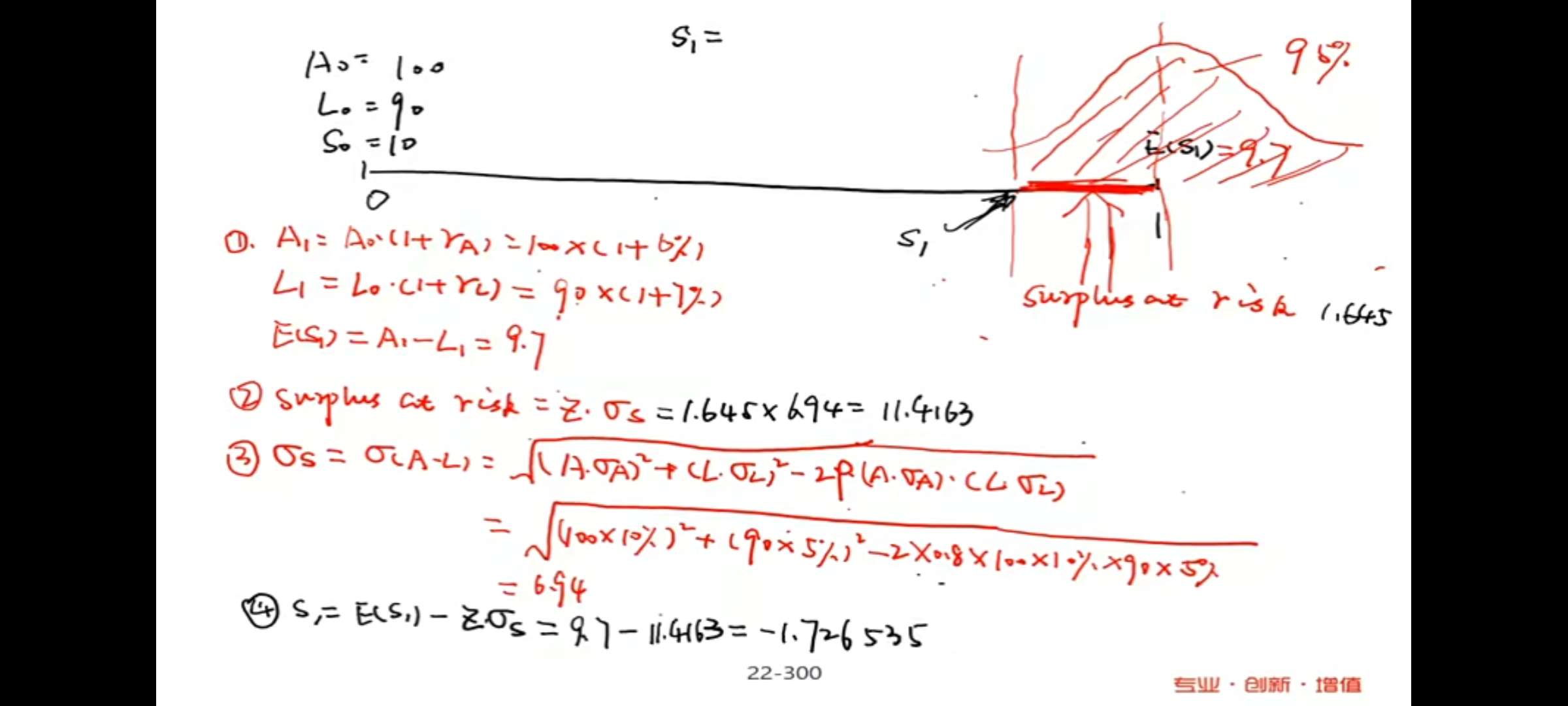
- 请问,求组合标准差需要乘以权重,但是组合var,不需要权重,想不明白?麻烦仔细讲下
- 这里的cash 中性是只需要CAPM中的benchmark=0?还是这个benchmark怎么样?什么叫阿尔法不会产生active cash position?CAPM中阿尔法并不在基准中啊?
- 老师,这里benchmark的中性化,三个回归是什么逻辑?
- 最后一行的对比是啥意思,老师展开解释一下。增量收费和FRTB定义差异
- 老师,收益率的波动率(yield volatility)和基点波动率(basic volatility)能给讲一下么?尤其是前面的,后面的基点波动率我记得是公式dw前面的







