天堂之歌

听歌而来,送我踏青云〜

FRM二级

FRM二级

包含FRM二级传统在线课程、通关课程及试题相关提问答疑;

专场人数:1658提问数量:32347

老师好,D选项我混淆了,之前说金融危机是long equity (short cds),赚钱,但是因为相关系数上升,所以亏钱。和这个D选项的错路风险是一回事儿么?

查看试题 已回答

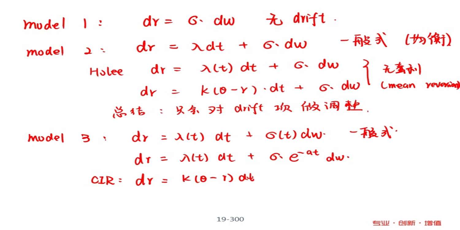
老师,这里为什么是deterministic(划红线的部分)那个drift项不是a(t)吗?不是随时间变化的?

查看试题 已解决

model3的第一个变式老师说在什么教育教学上常用?具体为什么

已回答

这题的B难道不是属于风险管理而不是弹性管理吗,D选项老师说不是由IT部门构成,但是它还有还有其他部门一起,感觉D没有问题呀

已回答

老师好,可以帮忙解释下题目要问的是什么吗?解释只看懂了两个客户经理的权重,做题时,也只到这一步,后面的就没思路了,主要是出题人思路没get

查看试题 已解决

老师,这个D选项怎么理解呢?

查看试题 已解决

老师,这个地方volatility surfaces 前面标黑点的这两句话怎么理解?

已解决

辛苦老师帮翻译一下四个选项,另外就是想问下,4个选项是建立在有次可加性还是没有次可加性的条件下进行陈述的?

查看试题 已回答

老师,这个basis point volatility=δr,这个怎么判断是increase还是decrease?他利率难道不是有上升也有下降的?

查看试题 已解决

想问下老师,equity option不应该是low strike price对应的higher volatility么,为什么答案是C不是B呢

已解决

精品推荐

400-700-9596
(每日9:00-21:00免长途费 )

©2026金程网校保留所有权利

X

注册金程网校

验证码

同意金程的《用户协议》
直接登录:

已有账号登录