天堂之歌

听歌而来,送我踏青云〜

FRM一级

FRM一级

包含FRM一级传统在线课程、通关课程及试题相关提问答疑;

专场人数:3393提问数量:63230

这个R平方 前面的知识点好像没有印象 是个什么概念

已回答

第20题,我是按照百题老师的方法来理解的。对于第一的swap 我们是支固定,收浮动,所以当利率上涨的时候,value是上升的,这个我能理解,我疑惑的就是此时的duration为什么就是小于0的?是因为duration衡量的是利率与vaue的反向关系吗?因为这里是同向关系,所以duration<0,只有两者反向关系了才是duration>0? 谢谢老师讲解

已回答

老师无关题目,我想问一下,考试的时候,在题目没有说明的情况下,应该用一般复利还是连续复利

已回答

为什么不是A选项呢?

查看试题 已回答

为什么不是A选项呢?

查看试题 已回答

老师EWMA和GARCH模型中Rn-1怎么算呀,我记得老师说对数收益率也可以,普通的收益率也可以,可是这个80题里面,不同的计算方法选择的答案就是不一样的啊

已回答

19题,如果AB两个选项合起来是对的吗?risk management goal就是minmize risk的同时maximize returns.

已回答

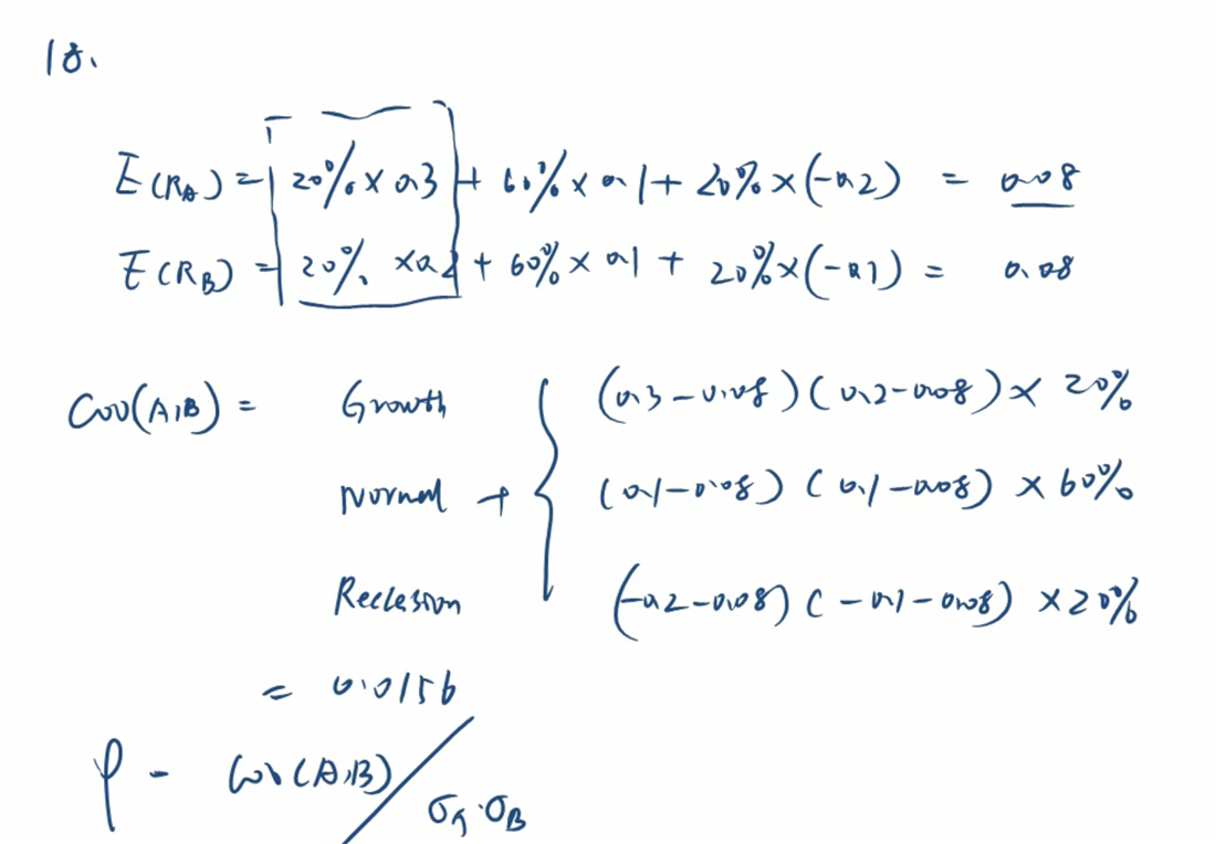
老师您好,第18题我直接用的cov(A,B)=E(AB)-E(A)*E(B)这个公式得到的答案,答案和老师计算的是一样的,可以吗?还是说这个公式有前提条件?谢谢

已回答

老师,本题这个公式是建立在两天中每一天的波动率都相同的情况下吧,但是假设它们相同的依据是什么呢?

查看试题 已回答

老师,请问S为什么不用strike price呢?

查看试题 已回答

精品推荐

400-700-9596
(每日9:00-21:00免长途费 )

©2025金程网校保留所有权利

X

注册金程网校

验证码

同意金程的《用户协议》
直接登录:

已有账号登录