
-
CFA三级
包含CFA三级传统在线课程相关提问答疑;
专场人数:1539提问数量:40969
精品问答
- liability relatibe asset allocation这三种方式的区别是什么呀 怎么区分
- 第5题,从经济学公式X-M=(S-I)+(T-G)来看,如果经常账户赤字增加,不是意味着该国投资大于储蓄,或政府支出大于税收么,那么整体环境应该是好的,应该有利于资本的流入吧?为什么答案是反过来去赤字减少或盈余的国家呢?
- 这里第二题的意思是三种方法都适用吗?没太理解,能否在讲解下
- 到底该怎么判断一类和二类错误?做的题目解答标准不一致啊,我看到另一道题的版本是 - 一类错误是做了错的事,二类是没做对的事。现在这一题,对于不合格的经理不采取行动,不就是二类错误 - 没做对的事吗?
- 关于什么时候用IRR 、MOIC
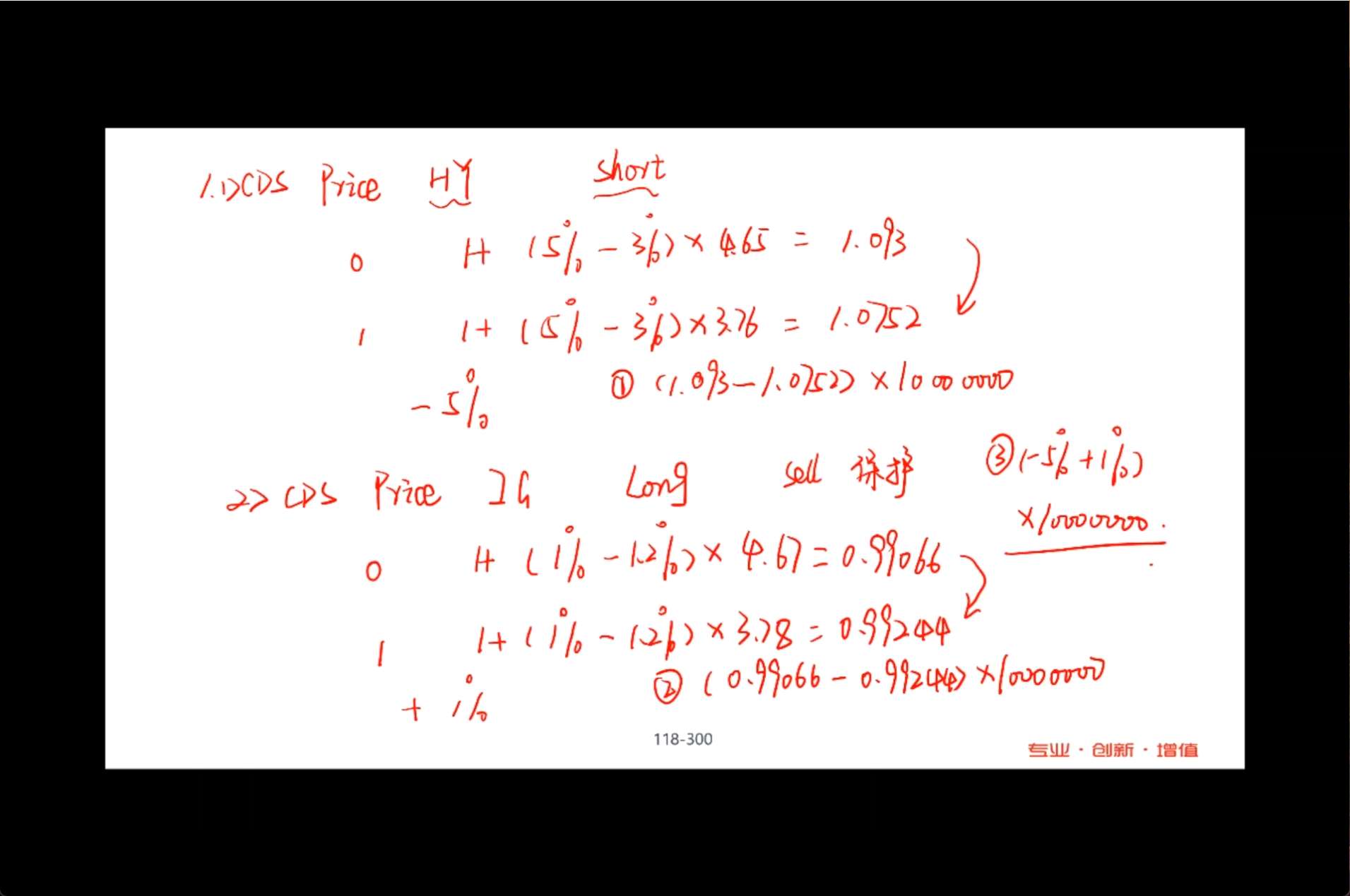
- 1.这里右侧支付端这段,party A角度他有market value risk时谁有?上下部分矛盾了啊.2.左侧的图和配文是什么意思?原本是什么?又变成什么?3.注意里面:fixed端有
- Risk Budget and risk parity 第二道思考题,里面的Variance是不是完全是个冗余信息,给来误导的呀?
- 老师,给最新的信息更高权重为什么不是availability bias呢?











