
-
CFA二级
包含CFA二级传统在线课程、通关课程及试题相关提问答疑;
专场人数:2460提问数量:55630
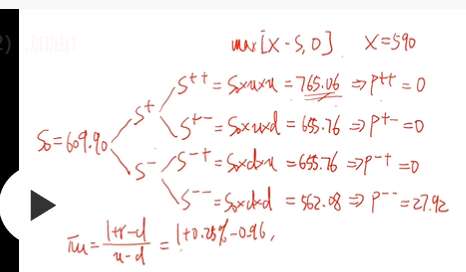
老师能不能完整的用文字讲解下第四题的估值计算方法,视频里讲的好乱啊。还有个问题就是题目说eps will be 32% of beginning book value for the next year,但是题目里给的beginning book value也不是next year的呀,为啥能直接20*32%算出NI1呢?
查看试题 已回答第三题怎么看出来就是要新增发10million的股票呢,他说的是acquire for 300million in cash and 10 million shares,但也没说这个10million是要新增发的呀
查看试题 已解决老师好!关于这个知识点两位老师讲的不一样:“残差”增大,“标准差”增大,然后“Sbj凯普”的变化,林老师讲的,说:这个比较特殊,“Sbj凯普”变小即underestimated,慧玲老师讲的就是同方向变动。我两个都能听得懂,但两位老师讲的结论是相反的,请问按哪位老师的来?
请问第四题这句话怎么理解呢?McCormick estimates that $75 million of the firm's cash holdings is not necessary to generate operating cash flows. 考试的时候怎么判断这种金额是不是要加回呀?如果换一种问法呢?
查看试题 已解决精品问答
- 这题为什么是选C?
- 老师,第二题可以在解释一下原理吗?
- CDS的long和short是不是反过来的?就是long CDS代表看涨目标公司credit,所以是卖出一份CDS合约?
- 为啥accrued interest over contract life是0?
- 老師您好,Q1關於future price不太理解
- 这个1.0028的单位是什么 老师说“每一块钱SF的现值” 如果是*1.12 就是期初先 euro 转 sf 然后 期末再 /1.1 就是 sf 转 euro ?
- 第六题,视频老师说,对于汇率都是先除老汇率再乘新汇率,不应该吧,对于这个客户而言,因为“paying €1 million at inception.“得出该客户是未来每期是收欧元利息和欧元本金,支瑞士法郎利息和本金。所以期初是每一欧元换1.12瑞士法郎用的是乘呀,估值时的汇率1.1用除。老师帮忙看看逻辑正确不?
- Growth due to capital deepening 是αΔK/K还是ΔK/K





