天堂之歌

听歌而来,送我踏青云〜

CFA二级

CFA二级

包含CFA二级传统在线课程、通关课程及试题相关提问答疑;

专场人数:2444提问数量:55533

请问stephens说的without impairing the company's value是什么意思

已回答

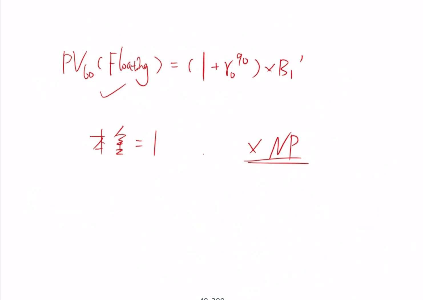
老师,请问这里在算PV60(floating)的时候用到的r90是不是就是前面在算pricing时用到算B1时的那个r90?

已回答

请问定价都是根据无套利进行的,那老师提到的volatility trading在计算时vega值不就不一样从而波动水平相似幅度不同的两个期权定价不就不一样了吗?

已回答

老师你好,想问下bad consumption hedge的资产跟效用的关系,如果一种资产未来价格跟未来效用是反相关,它算不算bad consumption hedge?

已回答

那么1时刻h的值,和0时刻的h值是一样的嘛?还是说h泛指hedge ratio?

已回答

这个s0156000是clean price 还是dirty price? 为啥不用加AI 0?谢谢

已回答

请问 为什么可以判定 coupon就是5.25%呢

已回答

为什么一部分投无风险资产 一部分投市场组合的是在赚Cash 而全部投市场组合的是在借钱

已回答

老师你好,bluffing跟flickering orders有什么区别么

已回答

为什么SxN(d1)-XxN(d2)就是T时刻的价值呢?实际不应该以N(d2)实际会行权的的情况算吗?两个价格分别乘以不同的概率为什么直接就减了?应该怎么理解呢?

已回答

精品推荐

400-700-9596
(每日9:00-21:00免长途费 )

©2026金程网校保留所有权利

X

注册金程网校

验证码

同意金程的《用户协议》
直接登录:

已有账号登录