天堂之歌

听歌而来,送我踏青云〜

CFA二级

CFA二级

包含CFA二级传统在线课程、通关课程及试题相关提问答疑;

专场人数:2444提问数量:55544

老师举得这个例子中t和t-1的correlation为0.061,且t检验为0.622,不是说明t和t-1也不存在aotucorrelation吗?那最终的模型应该也没有Yt-1才对?

已回答

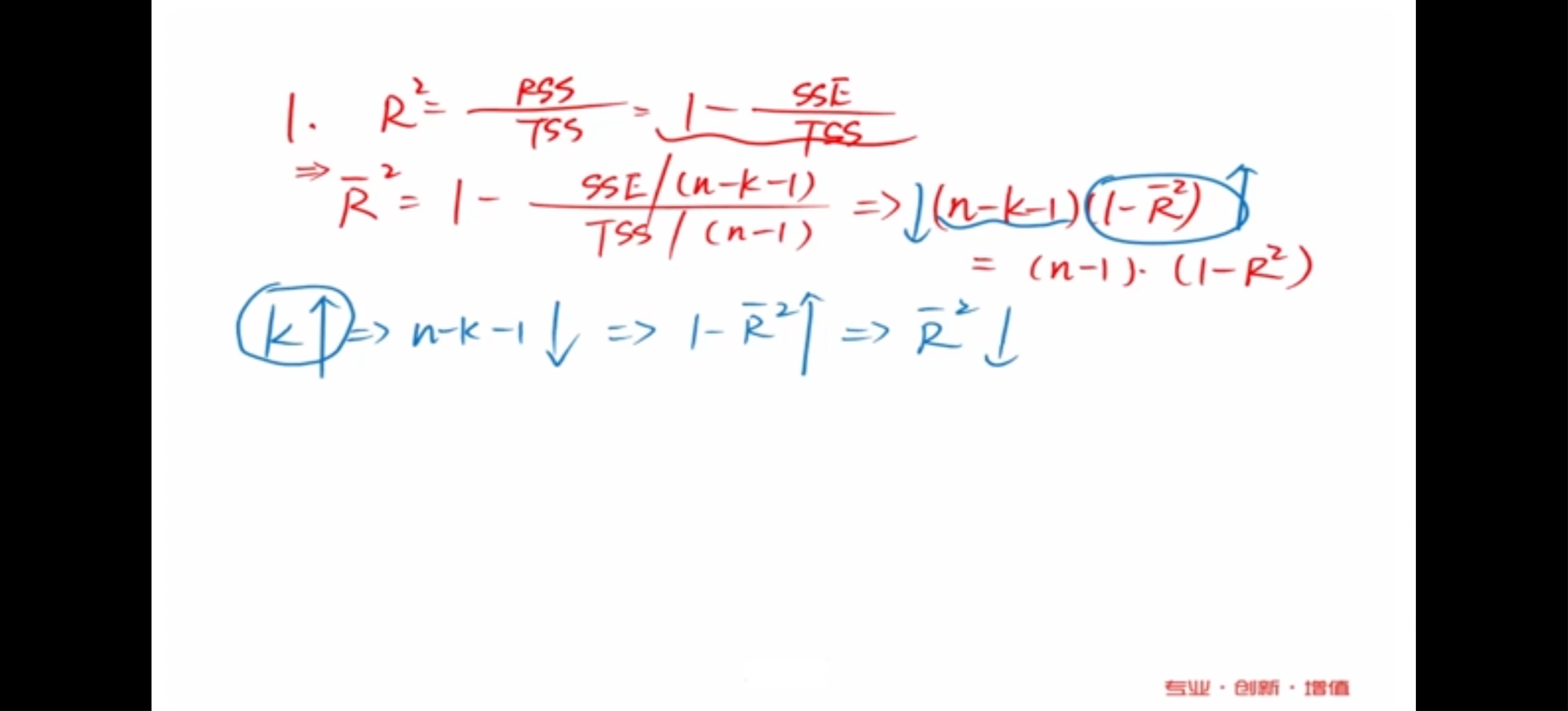
第二行怎么出来的?

已回答

为什么16题答案里面的FORWARD RATE 用的是OFFER PRICE, 而不是BID PRICE?在这样的外汇转换里面 什么时候算是买 (offer price from dealer?) 什么时候算是卖 (bid price from dealer?)有没有总结 可以参考下

已回答

bid是买进,当然希望越低越好呢,老师这里的best bid到底如何理解的

已回答

老师,组合C里的组合B相当于rf?

已回答

夏普比率跟IR有什么区别

已回答

currency的valuation公式,下面分母是1+r f还是erfc?

已回答

这老师的投资组合讲的太懒了,无语,根本就是无语

已回答

经济越好实际的无风险收益越大,实际的无风险收益是不是是央行的的国债收益,如果实际的利率上涨就利用的是紧缩的货币政策,这样经济还能够上涨吗

已回答

在DW查表是一个考点吗?如果是,我想问的问题是DW表根据K和N是否能查到上下线取值,如果能查到,是否这些取值一定在0-2之间?

已回答

精品推荐

400-700-9596
(每日9:00-21:00免长途费 )

©2026金程网校保留所有权利

X

注册金程网校

验证码

同意金程的《用户协议》
直接登录:

已有账号登录