天堂之歌

听歌而来,送我踏青云〜

CFA二级

CFA二级

包含CFA二级传统在线课程、通关课程及试题相关提问答疑;

专场人数:2444提问数量:55544

为啥讲义上的betaequity计算,算了1-t,视屏里面这个老师却没有乘法1-t。我以谁为准

已回答

第12题 保险公司借钱买的房子,房子本身不是equity么?是我题目读错了么?

查看试题 已回答

第2题,TV的公式和MVn公式一样的,2者有什么区别?另外,什么时候用这个公式,什么时候用MV0那个公式?请老师讲解一下MV0和TV,MVn

查看试题 已回答

第1题说零售的收入是1500,请问为什么这个数字代表了额外零售收入也会成为租金的一部分?谢谢?

查看试题 已回答

arbitrage profit我觉得不应该是阴影部分,应该是FP-阴影部分

已回答

这道题目我跟老师的算法不一样,不知道对不对:我使用(1-b))(1+g)/r-g=trailing P/E, 题目中给了b, 给了P/E.,r。所以能求出g,在把新g带入到GGM里面,然后就就去除8时点的terminal value了

已回答

为什么多元回归模型检查出了自相关性以后,要用自回归模型进行检验呢?

已回答

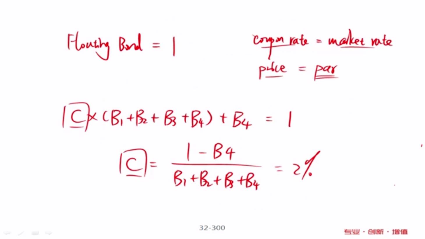
為什麼算floating 的時候可以直接當coupon rate = market rate?他們也有可能不相等的

已回答

课后题18题,关于scenario analysis 要掌握到什么程度呢?full revaluation of securities是属于其中的一部分吗?这题怎么理解?

已回答

课后题16,什么是surplus at risk, 好像网课里没有讲到这部分

已回答

精品推荐

400-700-9596
(每日9:00-21:00免长途费 )

©2026金程网校保留所有权利

X

注册金程网校

验证码

同意金程的《用户协议》
直接登录:

已有账号登录