天堂之歌

听歌而来,送我踏青云〜

CFA二级

CFA二级

包含CFA二级传统在线课程、通关课程及试题相关提问答疑;

专场人数:2444提问数量:55544

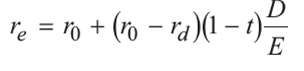
求问关于以下公式: (1)这个公式在MM有什么适用条件吗? (2) economic profit = EBIT (1-T) - $WACC,和这个公式很类似。是不是意味着这个公式隐含公司的economic profit =0?

已回答

前文中的passive equity什么意思的

已回答

请问这个公式怎么推导的?能不能给个推导/网址/视频解说?谢谢

已回答

老师您好,做ar检验时,拒绝原假设---接受h1---误差之间没有相关性----没有序列自相关吧,视频里说拒绝原假设,有序列自相关

已回答

2022年2月2级智能班,为什么考虑税,wacc下降幅度大于上升幅度

已解决

二级智能班,为什么这里wacc下降

已解决

老师,这个例子里两年期债券,半年付息一次。请问为什么第一个现金流折现的时候分母不是(1+S0.5/2)的二分之一次方?

已回答

最后这个例题,算出来的T.S.是-3.22,-3.22应该是小于1.65的吧,为什么还是拒绝了H0呢

已回答

老师这里fixed rate4%除以4之后,应该去年化吧?✖️90/360吧?

已回答

请问老师,为什么这里和基础课的结论equity在equity method和proportionate method下same,acquisition下higher不一致?

已回答

精品推荐

400-700-9596
(每日9:00-21:00免长途费 )

©2026金程网校保留所有权利

X

注册金程网校

验证码

同意金程的《用户协议》
直接登录:

已有账号登录