天堂之歌

听歌而来,送我踏青云〜

CFA二级

CFA二级

包含CFA二级传统在线课程、通关课程及试题相关提问答疑;

专场人数:2443提问数量:55528

为什么Auto Regressive序列相关性检验中的标准误SE=1/√n,讲义哪里讲到过?

已回答

第4题,为什么不选择C呢?原文中虽然提到 it would be suitable under Caper's new IPS ,但是根据上一段描述Telline在更新Caper的IPS时直接参考其他类似客户的IPS,而且还没有意识到两位客户tax situation不同,是不是可以认为给Caper 的new IPS就有问题,从而导致第4题中的buy order也存在问题、并不真的适合Caper?

已解决

filtration和selection的区别是什么,结果都是筛出来要的

已回答

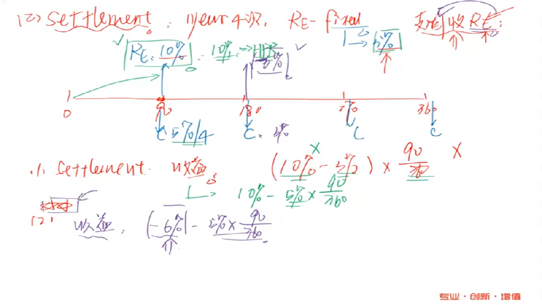
这里180天时点结算5%是×(90÷360)吗?不是(180÷360)吗?

已回答

监管竞争怎么有负外部性,这事是怎么说的呢??无法理解、不知所云。

已回答

为什么相同的变化率就是指数增长了,相同的变化率是年化增长率相同的意思吗,指数增长又代表什么?

已回答

老师请问Residual income估值是给全公司估值嘛?还是只是股东的那部分价值

已回答

这地方似懂非懂,已经把对数作为y了,y上写的数字100,200,300又代表百分比,且每段距离不相同,是什么意思,能不能举个有数字的例子,详细说明下

已解决

资产负债表上的PBO应该记为正数吧1843

已回答

本题b选项的技术进步,不是内生增长模型吗?怎么又成了新古典模型呢??不理解。

已回答

精品推荐

400-700-9596
(每日9:00-21:00免长途费 )

©2025金程网校保留所有权利

X

注册金程网校

验证码

同意金程的《用户协议》
直接登录:

已有账号登录