
-
CFA二级
包含CFA二级传统在线课程、通关课程及试题相关提问答疑;
专场人数:2443提问数量:55528
这里虽然学会计算了但是还是有点不理解,为什么去杠杆,加杠杆的时候E/(D+E)都要再乘一个(1-t)呢?老师在一级,二级的时候都是用税盾解释,但是E/(D+E)是equity的比重啊,和税盾有什么关系呢?
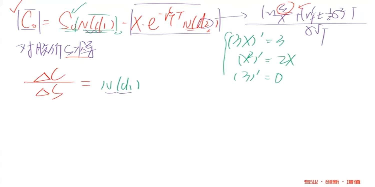
已解决您好,在证明delta call = N(d1) 的过程中,在call 定价公式 对S 进行求导,1.把S0视为S, 但对于t=0时刻,S0为该股票的价格,不是已知的可得的数吗,为什么视为变动的S, delta call = △C/△S, 这里的S,不是应是0时刻之后 (t≠0)至 到期日 (t=T) 期间的股价变动吗?2.实际中,d1, d2的数值会很大吗?只有d1, d2很大的情况下,N(d1), N(d2)好像才会对S0的变动产生很小的影响
按照公式1 = C * B1 + C * B2 + C* B3 + ······C * Bn + 1 * Bn ,这个公式仅代表t=0时刻,债券的价格等于面值,如果t≠0,债券的价格就不是1?
精品问答
- Growth due to capital deepening 是αΔK/K还是ΔK/K
- 这题为什么是选C?
- 请老师讲解一下这个题目
- 老师,第二题可以在解释一下原理吗?
- 老师,第三题答案的意思是:1.因为宽松的货币政策,导致加元利率下跌,导致加元贬值?2.但是,如果利率下跌,也就是分母上的百分比下降,不是会导致价格上升吗?。3.从而短期看是depreciation,但是长期来看,会回归到均值,所以是appreciation?
- CDS的long和short是不是反过来的?就是long CDS代表看涨目标公司credit,所以是卖出一份CDS合约?
- 很迷惑到底是long call+ short stock还是long stock+short call构建无风险资产
- 为啥accrued interest over contract life是0?











