天堂之歌

听歌而来,送我踏青云〜

CFA二级

CFA二级

包含CFA二级传统在线课程、通关课程及试题相关提问答疑;

专场人数:2443提问数量:55528

问题4与6、7不理解。 问题4的逻辑,信用风险低,spread低,通过低买高卖套利。 为什么6、7的操作是买风险高的,卖出风险低的呢?

已回答

问题4与6、7不理解。 问题4的逻辑,信用风险低,spread低,通过低买高卖套利。 为什么6、7的操作是买风险高的,卖出风险低的呢?

查看试题 已回答

问题4与6、7不理解。 问题4的逻辑,信用风险低,spread低,通过低买高卖套利。 为什么6、7的操作是买风险高的,卖出风险低的呢?

查看试题 已回答

第三题视频说,高储蓄率促进潜在GDP增长,所以得给储户高利率,但是是不是进一步导致企业融资成本增加,不利于企业投资了?

查看试题 已回答

资本自由流动汇导致货币危机?那欧美韩日国家,资本都是自由流动的,也没见他们货币危机嘛?反而那些资本不能自由流动的国家经常货币危机吧

查看试题 已回答

说到这个套息交易,现在中美两国,中国在降息,美国在加息,那是不是可以从事套息交易赚钱?如果不能,为什么?

查看试题 已回答

这里咋翻译?

查看试题 已回答

1.CFO =NI + NCC -WC Inv, 是一个确定相等的等式吗? 2。在NCC, 里面有个amortization of long term debt, 这个应不属于trading, 即不属于CFO, 为什么可以在计算CFO时考虑?3.计算net borrowing = △ capital ×debt ratio = (WC Inv +FC Inv - depreciation) ×debt ratio, 其中△capital = WC Inv +FC Inv -depreciation是一个忽略了某些项目才相等的,模糊的等式吗?

已回答

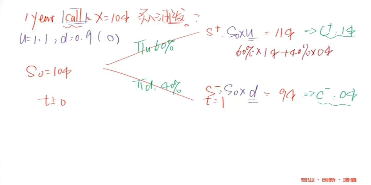
有个关于实践方面的疑问,CFA的考试像很多条件都是告诉考生的,但是在实践中这些条件并不都是已知的,例如πu,πd,未来股票的价格,这些数据在实战中又该如何去求证?

已回答

老师计算的这个公式中,为什么不是0✖️0.46?而是0.2517 ✖️0.46呢?

已解决

精品推荐

400-700-9596
(每日9:00-21:00免长途费 )

©2025金程网校保留所有权利

X

注册金程网校

验证码

同意金程的《用户协议》
直接登录:

已有账号登录