
-
CFA二级
包含CFA二级传统在线课程、通关课程及试题相关提问答疑;
专场人数:2443提问数量:55528
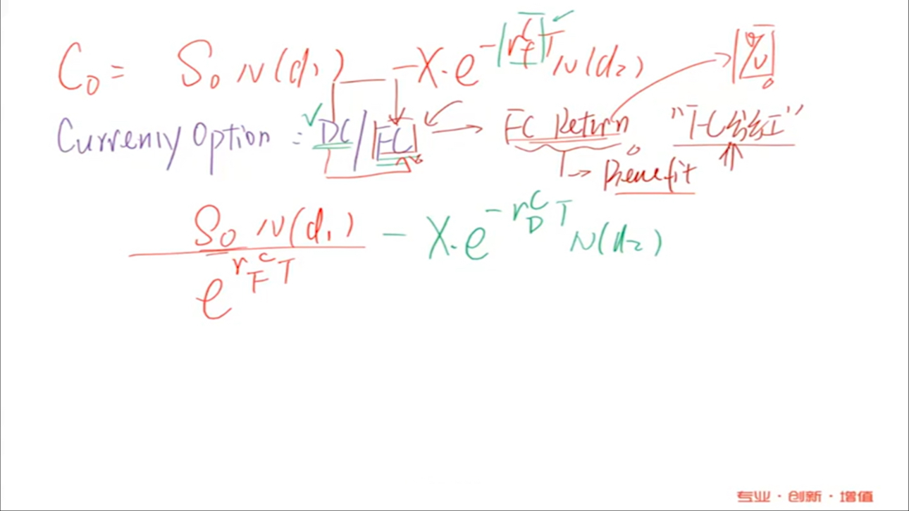
这里有点没懂外币benefit这个概念,股票分红是要除以因为相当于有一笔笔连续的现金流出折现到0时点;而汇率只是到t=T才去看汇率增长了多少,0~T之间并没有中间一笔笔连续的现金流出需要减去呀?
第五题中说return on equity(2018)are same under consolidation,but different under equity method。这里的the same under consolidation是指用全商誉和部分商誉算的合并报表下的equity,因为没有gw,所以列示在合并报表里的equity只包含原来母公司的equity再加上少数股东权益320,所以两者的ROE是一样。是这样理解吗?
查看试题 已回答cook距离这个公式,因为基础课和强化课从视频到课件都是矛盾的,我在强化课已经问了一次,助教回答明确过没有2乘以根号(k/n),只有根号(k/n),为什么这道题答案又用2乘以?这到底是什么呀?能不能搞清楚啊?
查看试题 已回答精品问答
- Growth due to capital deepening 是αΔK/K还是ΔK/K
- 这题为什么是选C?
- 请老师讲解一下这个题目
- 老师,第二题可以在解释一下原理吗?
- 老师,第三题答案的意思是:1.因为宽松的货币政策,导致加元利率下跌,导致加元贬值?2.但是,如果利率下跌,也就是分母上的百分比下降,不是会导致价格上升吗?。3.从而短期看是depreciation,但是长期来看,会回归到均值,所以是appreciation?
- CDS的long和short是不是反过来的?就是long CDS代表看涨目标公司credit,所以是卖出一份CDS合约?
- 很迷惑到底是long call+ short stock还是long stock+short call构建无风险资产
- 为啥accrued interest over contract life是0?









