水同学2024-04-06 11:08:54
另类,HF,Q8投委会成员的第一个考量是结合的组合方差需要小于当前组合的90%; 首先第一个条件,结合后的组合方差小于当前的90%,也就是说结合后的组合方差需要小于90%*7.95%^2 怎么计算
回答(1)
最佳
爱吃草莓的葡萄2024-04-07 13:33:16
同学你好。以两资产组合为例,组合的方差等于资产A的权重的平方乘上资产A的方差,加上资产B的权重的平方乘上资产B的方差,加上两倍资产A的权重乘上资产B的权重乘上资产AB之间的协方差。
在本题中,已经告知了新组合的标准差,因此不需要用上面的组合方差公式计算。如果没有告诉那么就需要按照上面的公式计算。
7.22、6.94与7.17就是当前组合加了20%的对冲基金策略构成的新组合的标准差。当前组合的标准差就是7.95。
- 评论(0)
- 追问(4)
- 追问
-
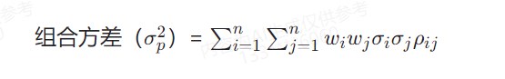
老师能把文字用公式表达和说明吗?看不懂
- 追答
-
组合方差公式如下,一级组合内容
- 追问
-
老师这是第几章的内容呀?完全没有印象。基础课讲义有这内容吗?谢谢
- 追答
-
同学你好。组合方差的计算是一级数量与组合的内容,索提诺比率、夏普比率也是一级数量与组合中的内容,回撤指标在一级另类中出现过,这三个指标在二级另类投资对冲基金模块最后有出现。
评论
0/1000
追答
0/1000
+上传图片




