
-
CFA二级
包含CFA二级传统在线课程、通关课程及试题相关提问答疑;
专场人数:2443提问数量:55533
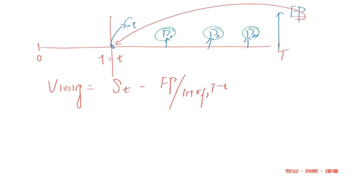
Q5 请问一下 Long stock via convertible bond profit= New share price – Current conversion priceShort stock profit = Current share price – New share price 这里的new share price 是什么意思呀
查看试题 已回答老师,我的问题是Equity科目的基础段题目 case:Brian Dobson:这里的第三题不是求的是stock的terminal value吗? terminal value不应该用P/E求出P后,要减去 first stage的value吗?
查看试题 已回答精品问答
- Growth due to capital deepening 是αΔK/K还是ΔK/K
- 这题为什么是选C?
- 请老师讲解一下这个题目
- 老师,第二题可以在解释一下原理吗?
- 老师,第三题答案的意思是:1.因为宽松的货币政策,导致加元利率下跌,导致加元贬值?2.但是,如果利率下跌,也就是分母上的百分比下降,不是会导致价格上升吗?。3.从而短期看是depreciation,但是长期来看,会回归到均值,所以是appreciation?
- CDS的long和short是不是反过来的?就是long CDS代表看涨目标公司credit,所以是卖出一份CDS合约?
- 很迷惑到底是long call+ short stock还是long stock+short call构建无风险资产
- 为啥accrued interest over contract life是0?






