
-
CFA二级
包含CFA二级传统在线课程、通关课程及试题相关提问答疑;
专场人数:2460提问数量:55630
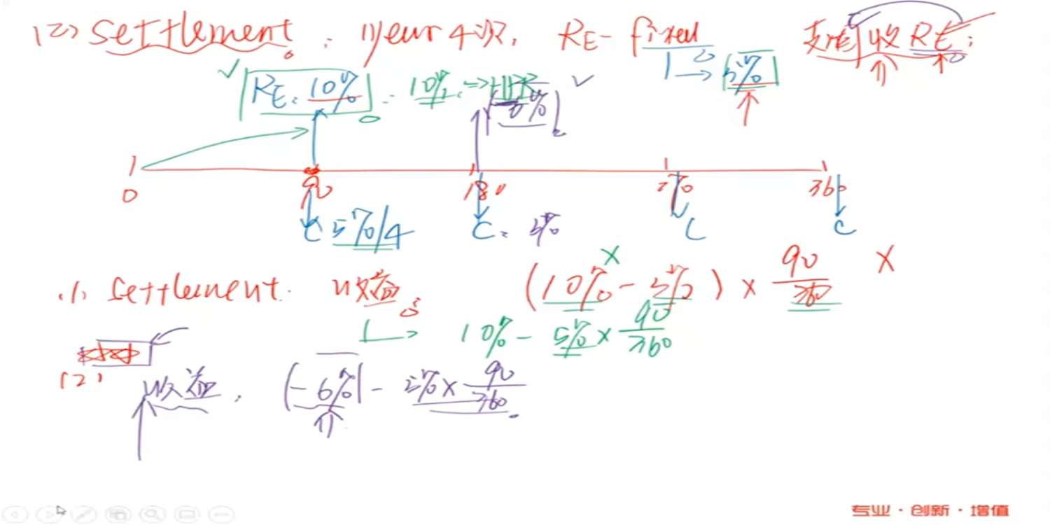
本题根据纪老师上课讲的思路应该如何求解?视频已经反复看了无数遍了还是无法follow,其他同学的提问和回答也很不consistent(不少回答还是明显错误的)。此处如果按照bond的定价公式(S0-PVC0)*(1+Rf)^T求解得到的也是不对的东西。麻烦老师按纪老师的思路完整讲解本题,谢谢。
第七题没明白,虽然提到了liquidity premium,但是yield curve slope是downward的为啥能是“liquidity preference theory”呢?liquidity preference theory不能够解释利率曲线downward啊。而且,后面“Tyo's answers,”那一段,都和liquidity preference theory没关系啊
查看试题 未解决精品问答
- Growth due to capital deepening 是αΔK/K还是ΔK/K
- 这题为什么是选C?
- 请老师讲解一下这个题目
- 老师,第二题可以在解释一下原理吗?
- 老师,第三题答案的意思是:1.因为宽松的货币政策,导致加元利率下跌,导致加元贬值?2.但是,如果利率下跌,也就是分母上的百分比下降,不是会导致价格上升吗?。3.从而短期看是depreciation,但是长期来看,会回归到均值,所以是appreciation?
- CDS的long和short是不是反过来的?就是long CDS代表看涨目标公司credit,所以是卖出一份CDS合约?
- 很迷惑到底是long call+ short stock还是long stock+short call构建无风险资产
- 为啥accrued interest over contract life是0?







