
-
CFA二级
包含CFA二级传统在线课程、通关课程及试题相关提问答疑;
专场人数:2443提问数量:55533
Q2 老师对QAS和债券价格高估或低估的关系的分析不理解。如果是callable bond 那么option free的spread=含option的spread - OAS ,在这种情况下如果OAS偏高,那么option free的spread会偏低,那么说明这个债券是高估的。因为两个相似的债券,它们的option free spread应该是相同的。能否解释下我的分析有什么问题吗?谢谢
查看试题 已回答精品问答
- Growth due to capital deepening 是αΔK/K还是ΔK/K
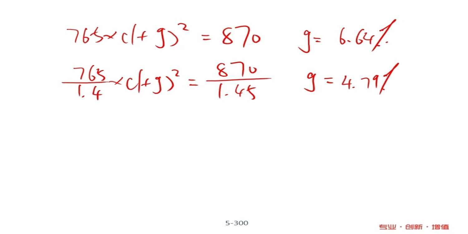
- 这题为什么是选C?
- 请老师讲解一下这个题目
- 老师,第二题可以在解释一下原理吗?
- 老师,第三题答案的意思是:1.因为宽松的货币政策,导致加元利率下跌,导致加元贬值?2.但是,如果利率下跌,也就是分母上的百分比下降,不是会导致价格上升吗?。3.从而短期看是depreciation,但是长期来看,会回归到均值,所以是appreciation?
- CDS的long和short是不是反过来的?就是long CDS代表看涨目标公司credit,所以是卖出一份CDS合约?
- 很迷惑到底是long call+ short stock还是long stock+short call构建无风险资产
- 为啥accrued interest over contract life是0?








