天堂之歌

听歌而来,送我踏青云〜

CFA二级

CFA二级

包含CFA二级传统在线课程、通关课程及试题相关提问答疑;

专场人数:2458提问数量:55612

框里的公式通常会在哪里用得上呢,会考到吗?做题时候好像没怎么用过

已回答

请问C.S.C指的是年末数吗?

已回答

11题为什么gain=MD*spread呀

已回答

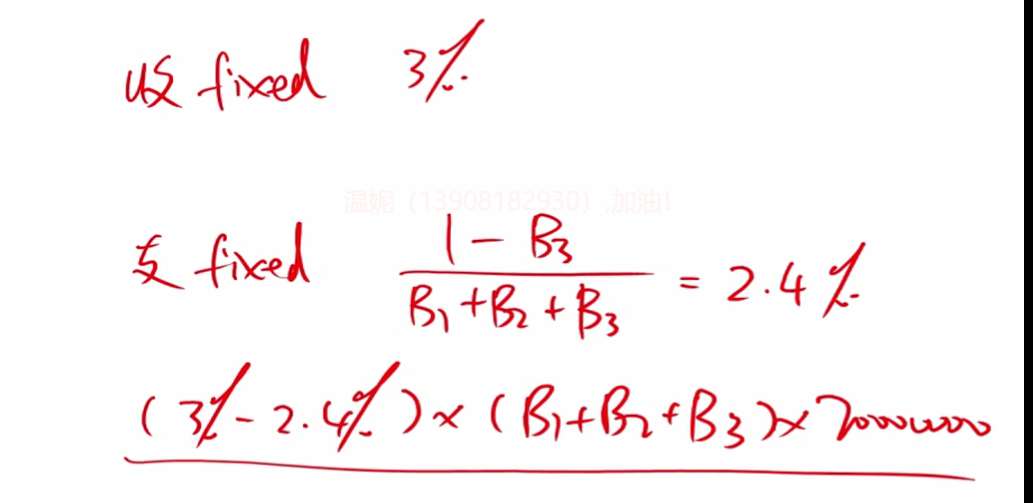
为什么签方向合约,与原合约做差,就能算出原合约的估值呢?这背后的逻辑记不清了。

已回答

为何题目中所使用的折现因子不是用1/1.03计算得出,而是用表格2所给出的折现因子进行计算?

已回答

第4问,g增加最终也会作用于delta(dividend_yield),最终是否会导致股价下跌?

查看试题 已回答

买一份期货期权和买一份期货的区别是什么?

已回答

蒙代尔弗雷明模型和其他两个模型各自的联系和对比区别,老师可以帮忙总结与下嘛?

已回答

方框里写错了吧,USGAAP下用的就是E(R),不是int. income,按Bob的习惯,这里不用打引号才对吧?

已回答

关于CDS的判断:我们说CDS的买方是short,因为买方是从资产下跌中受益(得到赔付),为什么CDX(CDSindex,一系列的CDS)的买方是long方呢?CDX的买方不也是从资产下跌中受益吗?如果CDX里面的资产都不违约,对于CDX买方而言是无法获得赔付的。求解惑?

已回答

精品推荐

400-700-9596
(每日9:00-21:00免长途费 )

©2026金程网校保留所有权利

X

注册金程网校

验证码

同意金程的《用户协议》
直接登录:

已有账号登录