天堂之歌

听歌而来,送我踏青云〜

CFA二级

CFA二级

包含CFA二级传统在线课程、通关课程及试题相关提问答疑;

专场人数:2459提问数量:55633

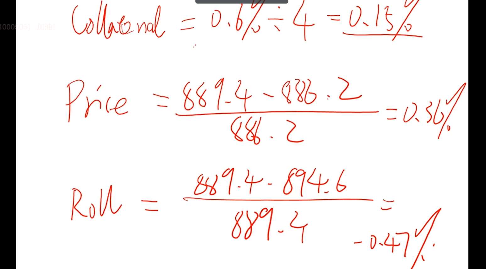
这道题中算rollreturn的时候,为什么不乘以仓位的percentage(80%)

查看试题 已回答

想请问re-measurement的意思,在养老金里面说re-measurement指的是OCI,但是外汇又指translation?refer 密卷54题

已解决

第五题,我用CF算可否?CF0=-1.6,C01=0.294,F01=6;C02=0.21,F02=5;C03=0.91,F03=1。我算出来的NPV=0.165849,和答案中的0.1742对不上。请问我的方法错了么?

查看试题 已回答

第四题,operating income和第一题的operating cash flow有什么区别?operating income是指NI?

查看试题 已回答

请问如何判定模型有没有reliable SE?refer 密卷47题

已解决

第4题,这里计算出的risk-neutral_probability和题目中给的hazard_rate(2%)的区别是什么呢?印象中只有衍生品的二叉树定价中需要计算risk-neutral_probability

查看试题 已回答

第二题中的equity为什么不能用EPS/ROE呢?直接用equity不排除里面有OCI呢?

已回答

请问老师,第二个题目里面的Standard error of predicted value考计算吗?是否需要背公式?

查看试题 已回答

第四问用debt回购为什么不用加上cost of debt

查看试题 已回答

想请问老师TPPC的计算是应该用FS末-FS初-contribution 还是FS初+contribution-FS末?讲义出现了两种,这样符号刚好相反

已回答

精品推荐

400-700-9596
(每日9:00-21:00免长途费 )

©2026金程网校保留所有权利

X

注册金程网校

验证码

同意金程的《用户协议》
直接登录:

已有账号登录