
-
CFA一级
包含CFA一级传统在线课程、通关课程及试题相关提问答疑;
专场人数:6084提问数量:109841
看上述视频的时候,在理解方面出现了疑问。如果图所示,从大于总样本数N(N>30)中抽取多个样本n,并且组成样本组1,样本组2,样本组3·····样本组n,样本组1中X的均值记作X1,样本组2中X的均值记作X2,样本组n中X的均值记作Xn, 样本组1中方差σ记作σ1+样本组2中方差σ记作σ2+····样本组n中的方差σ记作σn. ①这里的μx'计算是否是用样本组1中的X的均值X1'+样本组2中X的均值X2'+样本组3中X的均值X3'·····+样本组n中X的均值Xn'的总和,(X1'+X2'+X3'+·····Xn')/样本组总数n,结果μx'趋近于服从正态分布的均值μ?如果μx'的计算方法错误,正确的计算方式是什么? ②x'的方差(σx')^2为什么要除n,这里的n代表的时抽取的样本数n,还是总样本数N? ③ (σx')的计算方式是否为:(σ1+σ2+····σn)/样本组总数n? ④如果③的计算方式错误,那么正确的计算方式是什么?
精品问答
- Effective duration和Effective convexiy的公式为什么不用modified duration和convexity的原本公式,而是和他们的近似的久期和突性的公式一致?
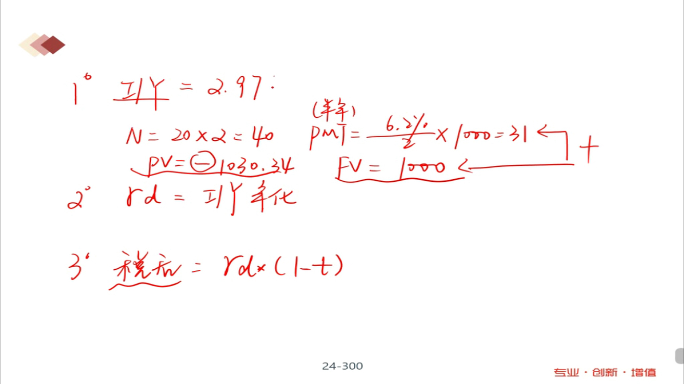
- 为什么半年付息 算ytm是乘以2 而年化的麦考利久期是除以2
- 为什么长期垄断竞争中 D和ATC相切
- m上升 EAR为什么上升 以及为什么又不变
- 为什么TC 的切点对应是AVC的最低点?
- 前面在讲Aggregate demand curve的时候说,价格上涨使消费下降,而这里又说价格下降消费变少,为什么存在矛盾?
- 为什么可以把TR TC同时体现在纵轴?
- 对于老师讲的这部分,1. 我理解FRA的Payoff始终等于利率期货的Payoff部分进行折现(除以1个大于1的数),也就是说,FRA的Payoff的变动幅度 应该 始终小于利率期货的变动幅度。2. 至于是涨多跌少,还是涨少跌多,其实MRR在分母上,可以根据1/x的曲线特点来理解,无非就是MRR上升时1/(1+MRR)的变动幅度 小于 MRR下降时1/(1+MRR)的变动幅度,所以如果MRR上升时,Payoff是上升的,那么就是涨少跌多,如果MRR上升时,Payoff是下降的,那就是涨多跌少。以上2点,我理解的对吗?







