天堂之歌

听歌而来,送我踏青云〜

FRM问答

FRM问答

FRM问答包含在线课程、FMR通关课程、FRM试题等所有FRM相关问题,每个问题老师均会在24小时内给出答疑回复哦!

专场人数:0提问数量:0

老师,在第15题计算DP时上一期用的N=10(未加上一期),而16题计算时用的是N=7(加了上一期),到底是要加还是不加呢?有点儿不太明白。

已回答

联合违约概率为什么不是两个事件的概率相乘呢。

已解决

你好请问A选项怎么不可以选? var不是说超过特定水平的损失吗 怎么是收益

已回答

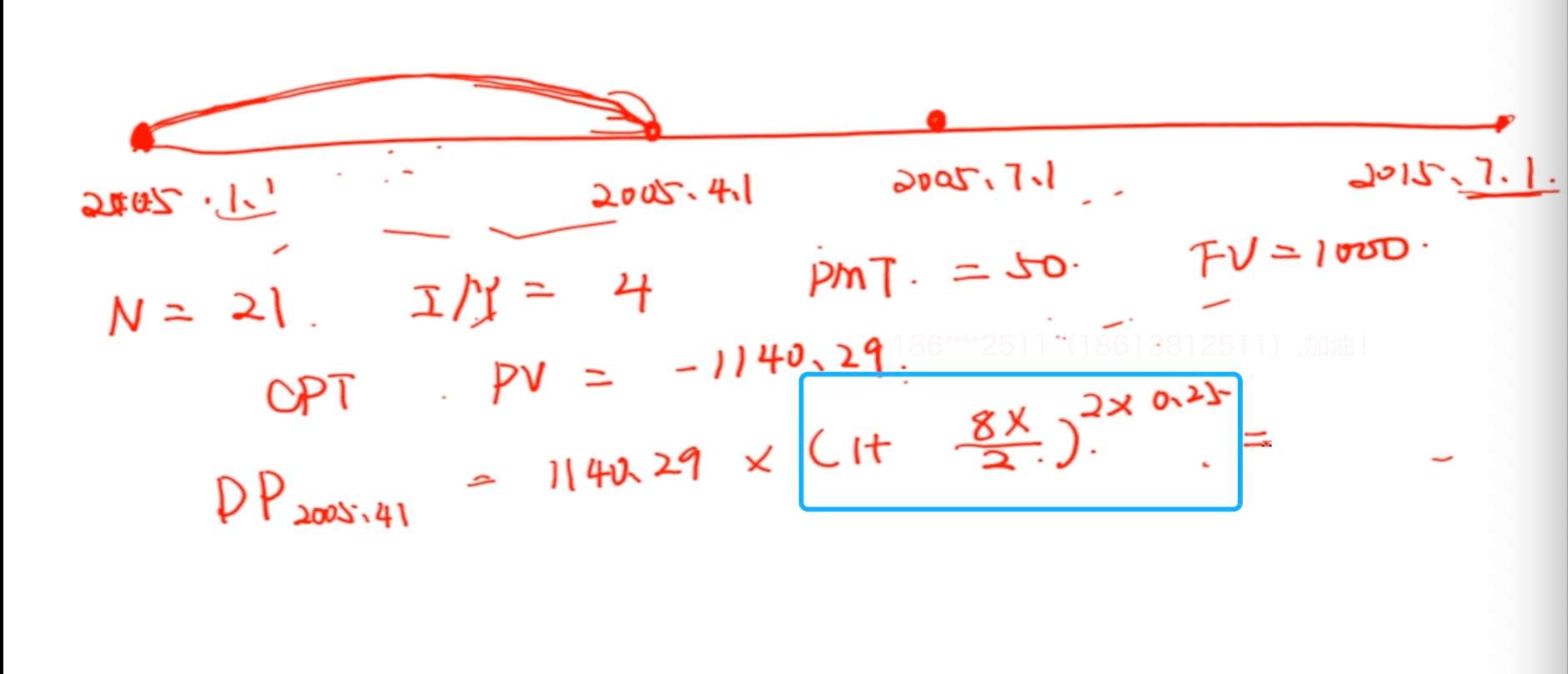
蓝色框中为什么不是(1+8%/4)?

已回答

老师您好,这道题答案给的是,可是会债券被动的让投资者put bond,因此需要long option对冲,产生正gamma,带入到delta- gamma公式里面,gamma增加,VaR减小。我的问题在于,可赎回债券会有负凸显性,产生负C,带入到|-MD*P|*VaR-0.5*C*P*VaR^2,最后VaR应该变大县A。

已回答

房价下降后 房贷违约是指谁违约了 是指借款买房子的人 还是指发行次级债的spv呢 又为什么要违约呢

已回答

老师,请问这题的b为什么不对呢?如果两个客户都同意他的想法,基金经理算出一个收益最大化的配比,这种情况下难道不需要保证两个客户的操作一样吗?

查看试题 已解决

这里计算dp时为什么是乘以(1+5%)的162/180次幂呢?年化ytm是10%,按半年复利,不是用公式(1+ytm/2)的2t次方么?不是应该用图2里的公式么?那次幂应该是多少个半年的意思,162/180个半年,所以次幂应该是2*162/180吧?

已解决

请问辛迪加贷款可以理解成影子银行吗?

查看试题 已解决

老师想问一下就是备考过程中要看原版书吗,还是就看notes就可以啊,感觉原版书内容太多啦,抓不住重点,但是感觉中文书上好多考题中的点都找不到啊

查看试题 已回答

精品推荐

400-700-9596
(每日9:00-21:00免长途费 )

©2026金程网校保留所有权利

X

注册金程网校

验证码

同意金程的《用户协议》
直接登录:

已有账号登录