天堂之歌

听歌而来,送我踏青云〜

FRM问答

FRM问答

FRM问答包含在线课程、FMR通关课程、FRM试题等所有FRM相关问题,每个问题老师均会在24小时内给出答疑回复哦!

专场人数:0提问数量:0

信用百题第二题,请问D选项,银行的敞口是不是上升的?因为company收入不足以支付利息导致?

已解决

看到future和forward的rate比较问题是不是永远选future rate 大于forward rate就行

查看试题 已回答

老师您好,图片公式推导的第二、第三步是怎么出来的啊?

已解决

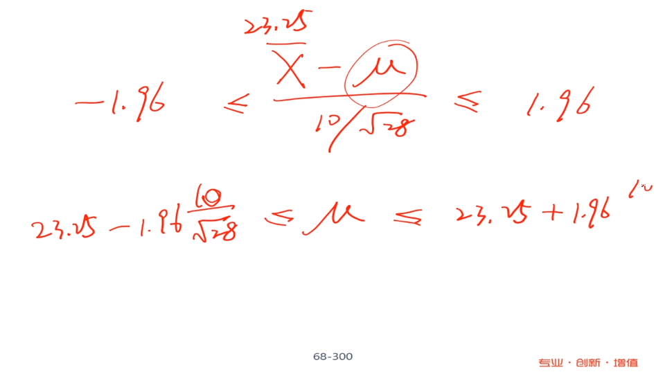
23.25为什么直接平移到不等式两边了?如果是求x平移miu,我可以理解,求miu 平移23.25我不理解啊。

已解决

这个题为什么不可以算出折现率的均值呢

已回答

为什么投资期限等于麦考利久期时可以完全免疫?原理是什么?

已解决

讲义上写的financial被攻击的多啊

已解决

第一列是死亡概率,第二列不是存活概率吗?

已解决

q1: 例题24-2中,买入卖出差价比率的均值和标准差是算出来的,还是假定的呢?如果可以算,是如何自行计算的呢? q2: 为什么公式24-1、24-2定义的测度是平仓时间长度的一个递减函数? 谢谢!

已回答

老师,这道题答案说是leptokurtic请问是如何看出来的?

查看试题 已回答

精品推荐

400-700-9596
(每日9:00-21:00免长途费 )

©2026金程网校保留所有权利

X

注册金程网校

验证码

同意金程的《用户协议》
直接登录:

已有账号登录