天堂之歌

听歌而来,送我踏青云〜

FRM一级

FRM一级

包含FRM一级传统在线课程、通关课程及试题相关提问答疑;

专场人数:3414提问数量:63382

老师,这种题目最难就是看到这种问题难度了吧?

已回答

请问这个远期的bp,调整的模式一定是bp值除以10000吗?为什么要除以10000?

已解决

55题用计算器应如何操作?

已回答

s与f的大小关系比较是price还是利率?感觉有些题是比利率呢

已回答

每百元报价这个点是哪个知识点里讲过吗?

已回答

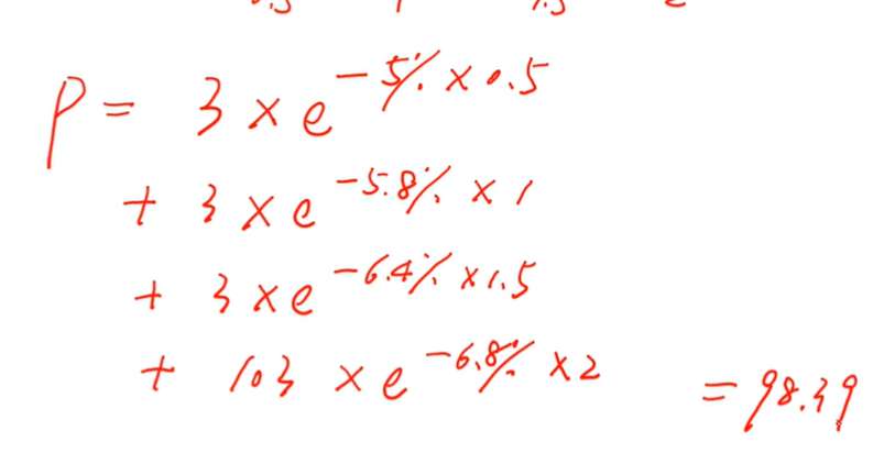
第26题没有理解。盈利了应该初始保证金累计计算啊。如july6

已回答

这里想f(x^y)为什么是f(x,y)的概率呀

已回答

老师,为什么答案中0.688用1%利率,而0.665使用4.5%?不应该反过来吗

已回答

老师,这道题计算器的按键顺序是什么呢?

已解决

这个T应该是下角标,而不是T次方吧?

已解决

精品推荐

400-700-9596
(每日9:00-21:00免长途费 )

©2026金程网校保留所有权利

X

注册金程网校

验证码

同意金程的《用户协议》
直接登录:

已有账号登录