天堂之歌

听歌而来,送我踏青云〜

FRM一级

FRM一级

包含FRM一级传统在线课程、通关课程及试题相关提问答疑;

专场人数:3420提问数量:63654

请问这道题应该怎么解?

已回答

老师上课好像没讲过CPR的公式

已回答

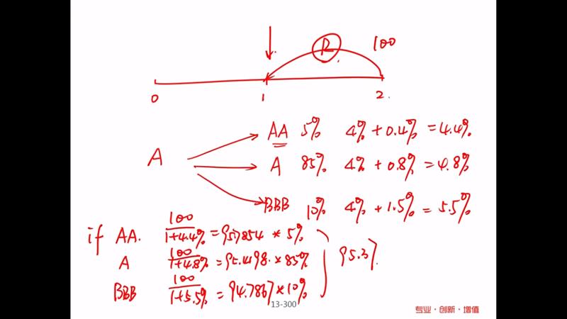
这道题可不可以这么做: 先算出预期的credit spread,5%*40+85%*80+150*10%=85个basis point, 然后用100/(1+4.85%)计算?

已回答

这种形式的外汇报价是我这样理解的吗

已回答

有分红的美式看涨不是不考?

已回答

括起来的怎么理解

已回答

在计算 interest swap的价值时 有下图的方法 和 Vfixed-Vfloat 的方法对吗? 什么时候用哪种方法呢? 我经常困惑

已回答

这道题好绕

已回答

欧洲美元期货是pay libor吗? 所以libor上升会导致损失? 然后fra是pay fixed ,libor上升会导致收益?

已回答

请教老师,stop and limit order的意思是?

已回答

精品推荐

400-700-9596
(每日9:00-21:00免长途费 )

©2026金程网校保留所有权利

X

注册金程网校

验证码

同意金程的《用户协议》
直接登录:

已有账号登录