
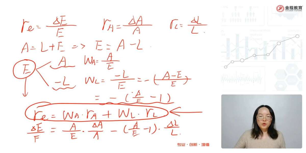
-
CFA问答
CFA问答包含CFA在线课程、CFA通关课程、CFA试题等所有CFA相关问题,每个问题老师均会在24小时内给出答疑回复哦!
专场人数:0提问数量:0
6.2题老师说因为如果有足够钱,是不是卖出一个债券来买入一个资产的,所以合成put的时候不需要减去一个债券。但是我想问:题目中并没有告诉你这个一个前提啊,根据公式-p=-C-K+S,这里的-k应该加上才对吧?
查看试题 已回答精品问答
- Effective duration和Effective convexiy的公式为什么不用modified duration和convexity的原本公式,而是和他们的近似的久期和突性的公式一致?
- Risk Budget and risk parity 第二道思考题,里面的Variance是不是完全是个冗余信息,给来误导的呀?
- liability relatibe asset allocation这三种方式的区别是什么呀 怎么区分
- 为什么半年付息 算ytm是乘以2 而年化的麦考利久期是除以2
- 为什么长期垄断竞争中 D和ATC相切
- Growth due to capital deepening 是αΔK/K还是ΔK/K
- m上升 EAR为什么上升 以及为什么又不变
- 为什么TC 的切点对应是AVC的最低点?









