
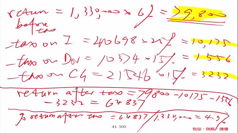
-
CFA三级
包含CFA三级传统在线课程相关提问答疑;
专场人数:1512提问数量:40464
老师,对于 Chapter 21 practice12 comment 1, 我有几个问题不明白: 在其他条件一样的情况下 -对于callable bonds和non-callable bonds,哪一个oas大? -对于putable bonds 和non-putable bonds, 哪一个oas大? -对于callable bonds和putable bonds,哪一个oas大? -对于callable nonds 和non-callable bonds, 哪一个的z spread大?
已回答SS2 case5 Q3 这道题的答案写的牛头不对马嘴的…看晕了。我认为选项A确实是不对的,因为没有compliance of the composite这个说法,只有full firm compliance,答案选了A但是不知道他在说什么😅cash allocation policy也不对吗
在算allocation effect, selection effect时候会考虑average benchmark return, different from Brinson Model. 想问问那么什么时候是用Brinson model的? 在return attribution的时候为什么要考虑average benchmark return? 为什么不直接也用Brinson model ?
百题SS2 case4 Q3 这题从原文开始就没看懂,首先是“WCM does not include in any composites large cap model portfolio”这句话很奇怪,前面不是说他有一个composite叫large-cap equity吗?为什么没有包括在里面?其次,“non discretionary portfolio不包含在任何composite”这句话应该是对的吧。
精品问答
- 老师,给最新的信息更高权重为什么不是availability bias呢?
- 第5题,从经济学公式X-M=(S-I)+(T-G)来看,如果经常账户赤字增加,不是意味着该国投资大于储蓄,或政府支出大于税收么,那么整体环境应该是好的,应该有利于资本的流入吧?为什么答案是反过来去赤字减少或盈余的国家呢?
- 她对个人笔记本电脑(personal laptop)进行了完整备份(full backup),并确保备份前已删除所有公司文件(all company files removed)。 目的:确保新备份中不包含任何前公司数据,避免合规风险。 遗留问题: 硬盘上的旧备份(previous backups)仍包含公司文件。 她不想因删除旧备份而丢失个人文件的备份历史(backup history for personal files)。 针对上述分析我有个疑惑,这个人不是已经在自己笔记本上备份了drive上的个人信息吗,怎么又Not wanting to lose the backup history for her personal files呢?他不是已经把自己的私人信息备份了吗!?
- 这里第二题的意思是三种方法都适用吗?没太理解,能否在讲解下
- 老师第二题 假设激励费的费率都一样 是不是soft会比hard好很多对于GP来说 GP会赚多得多的钱?
- 到底该怎么判断一类和二类错误?做的题目解答标准不一致啊,我看到另一道题的版本是 - 一类错误是做了错的事,二类是没做对的事。现在这一题,对于不合格的经理不采取行动,不就是二类错误 - 没做对的事吗?
- 第二题答案上说的是smaller difference,选项c是wider dispersion 是不是题出错了
- 关于什么时候用IRR 、MOIC













