
-
CFA二级
包含CFA二级传统在线课程、通关课程及试题相关提问答疑;
专场人数:2461提问数量:55641
老师好!财务百题Case10:Timothee Chalamet中第3题,让算计入利润表的pension cost。US GAAP下,进入利润表的五项,其中有amortized P.S.C和amortizedA.G/L。在这里,amortizedA.G/L中,虽然题目没有给真正侠义的A.G/L,但是表格3中给了A(R)和E(R),这俩相减“A(R)-E(R)”不是算在amortizedA.G/L里的其中一项吗?为什么这里没有算这一项?是题目没有给摊销这几个字或者摊销的相关信息?请老师解答一下,谢谢老师?
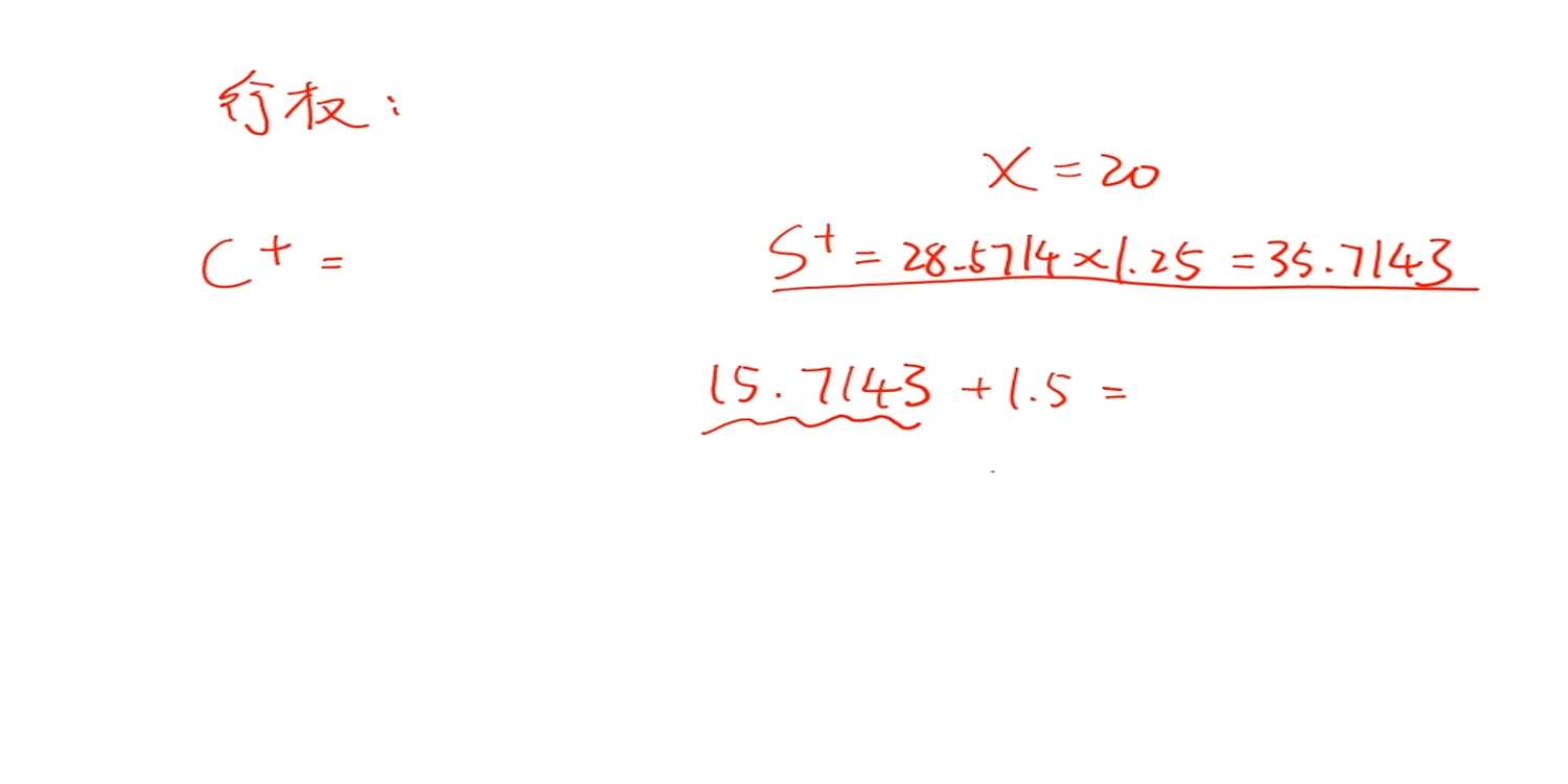
在t=1时,bond price >strike price (100) 是不是应该要拿strike price=100来计算t=0的bond price? 为什么ppt里t=0的bond price = 105.2 (没有以strike price来计算)而不是 103.88 (以strike price来计算)?
精品问答
- Growth due to capital deepening 是αΔK/K还是ΔK/K
- 这题为什么是选C?
- 请老师讲解一下这个题目
- 老师,第二题可以在解释一下原理吗?
- 老师,第三题答案的意思是:1.因为宽松的货币政策,导致加元利率下跌,导致加元贬值?2.但是,如果利率下跌,也就是分母上的百分比下降,不是会导致价格上升吗?。3.从而短期看是depreciation,但是长期来看,会回归到均值,所以是appreciation?
- CDS的long和short是不是反过来的?就是long CDS代表看涨目标公司credit,所以是卖出一份CDS合约?
- 很迷惑到底是long call+ short stock还是long stock+short call构建无风险资产
- 为啥accrued interest over contract life是0?







