
-
CFA二级
包含CFA二级传统在线课程、通关课程及试题相关提问答疑;
专场人数:2459提问数量:55627
这里cfa协会出了勘误解释了,货币政策影响短期利率。来源网站:https://www.cfainstitute.org/-/media/documents/support/programs/cfa/2023-cfa-level-ii-errata.pdf 麻烦老师看一下协会的勘误,然后更正一下课件内容吧,以及其他勘误看有没有需要更正课件部分的~谢谢
1)这里为什么zero-coupon rate就是spot rate?2)另外这里bootstrapping定义中的"using a forward substitution process”,如何理解这里的forward substitution?
精品问答
- Growth due to capital deepening 是αΔK/K还是ΔK/K
- 这题为什么是选C?
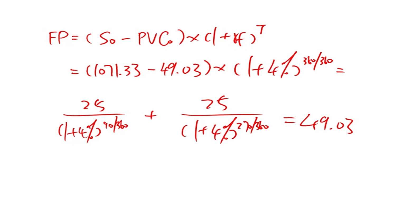
- 请老师讲解一下这个题目
- 老师,第二题可以在解释一下原理吗?
- 老师,第三题答案的意思是:1.因为宽松的货币政策,导致加元利率下跌,导致加元贬值?2.但是,如果利率下跌,也就是分母上的百分比下降,不是会导致价格上升吗?。3.从而短期看是depreciation,但是长期来看,会回归到均值,所以是appreciation?
- CDS的long和short是不是反过来的?就是long CDS代表看涨目标公司credit,所以是卖出一份CDS合约?
- 很迷惑到底是long call+ short stock还是long stock+short call构建无风险资产
- 为啥accrued interest over contract life是0?












