
-
CFA二级
包含CFA二级传统在线课程、通关课程及试题相关提问答疑;
专场人数:2462提问数量:55674
老师 这道题我已经通过表格数据计算得到CAD/BRL=0.5040/0.5141,对比dealer的买价即可知道profit=-0.5141+0.5250=0.109BRL,再换算到USD
精品问答
- Q3:解析里面Team Purple’s conclusion (the externalities associated with human capital is the most important determinant in predicting the occurence of convergence) implies that the production function is a straight line, and is compatible with non-convergence.这段话中 externalities associated with human capital具体是什么?怎么得到the production function is a straight line这个结论呢?
- 这题为什么是选C?
- 老师,第二题可以在解释一下原理吗?
- CDS的long和short是不是反过来的?就是long CDS代表看涨目标公司credit,所以是卖出一份CDS合约?
- 为啥accrued interest over contract life是0?
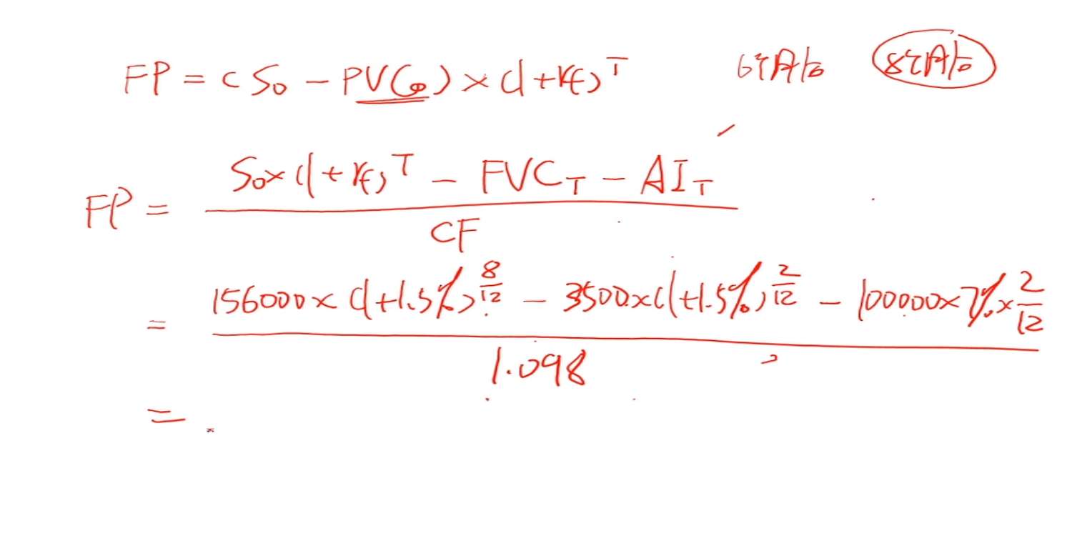
- 老師您好,Q1關於future price不太理解
- Growth due to capital deepening 是αΔK/K还是ΔK/K
- 请老师讲解一下这个题目











