天堂之歌

听歌而来,送我踏青云〜

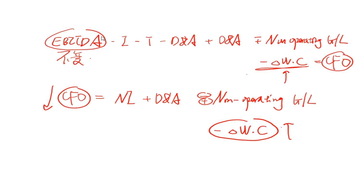
CFA二级

CFA二级

包含CFA二级传统在线课程、通关课程及试题相关提问答疑;

专场人数:2462提问数量:55672

老师请问24题,答案是c为什么会是translation loss?

已回答

哈罗 Q3要不要计算比例

查看试题 已回答

为什么是0.5/8?投了0.5和最后post money valuation有什么关系呢?为什么是value at exit/ROI算的是post money valuation?

已回答

called down为什么就是paid-in capital?那realized result代表什么?unrealized result代表什么?哪个是total commited capital,哪个是residual value?

已回答

能在解释一下coinvestment吗?如果是LP跟投GP那为什么GP and affiliated parties are also typically restricted in their coinvestments to prevent conflicts of interest with their LPs.

已回答

老师好,根据我粘贴的第二张图,看这个题,这个题表格1里的E(R) 是用宏观经济模型算出的R,还是作为宏观经济模型里的因子之一的E(R)?

已解决

哈罗,请问initiative2是不是与上文的two years冲突,所有不好呀

查看试题 已回答

哈罗,Tom老师建议先算partial GW,再算full GW。如果这样求解,该怎么计算呢?

查看试题 已回答

哈罗 Q3有没有讲过呀

查看试题 已回答

这个题本质上就是对下一期noi的折现吗

已回答

精品推荐

400-700-9596
(每日9:00-21:00免长途费 )

©2026金程网校保留所有权利

X

注册金程网校

验证码

同意金程的《用户协议》
直接登录:

已有账号登录