
-
CFA二级
包含CFA二级传统在线课程、通关课程及试题相关提问答疑;
专场人数:2443提问数量:55528
1. 问下图片中这道题,它业绩陈述是要求披露相似的组合,不要求披露全部的么(相似的和不相似的)? 2. 另,麻烦您帮我讲下fair dealing 和priority of transaction之间的关系?
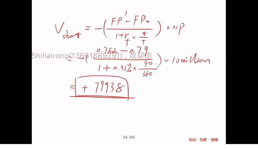
图中例题,原头寸short NZD,在到期日前三个月时点估值时为什么一定要用反向long NZD头寸来计算FP’,而不直接计算此时short NZD的远期合约价减去0时点short NZD的远期合约价,差额折现得到估值?图片3中估值时候FP’为多头远期合约价,而 FP0又是空头的远期合约价,交易方向不同,为什么可以直接相减得到原空头合约估值?因为这里涉及到是采用dealer bid price 还是ask price的问题。外汇和其他underlying不一样,有做市商制度,多头空头估值不只是简单的相反的关系,会存在dealer bid ask价差引起相应的估值金额差异。这是我的疑问和理解,请指教。谢谢。
精品问答
- 这题为什么是选C?
- 老师,第二题可以在解释一下原理吗?
- CDS的long和short是不是反过来的?就是long CDS代表看涨目标公司credit,所以是卖出一份CDS合约?
- 为啥accrued interest over contract life是0?
- 老師您好,Q1關於future price不太理解
- 这个1.0028的单位是什么 老师说“每一块钱SF的现值” 如果是*1.12 就是期初先 euro 转 sf 然后 期末再 /1.1 就是 sf 转 euro ?
- 第六题,视频老师说,对于汇率都是先除老汇率再乘新汇率,不应该吧,对于这个客户而言,因为“paying €1 million at inception.“得出该客户是未来每期是收欧元利息和欧元本金,支瑞士法郎利息和本金。所以期初是每一欧元换1.12瑞士法郎用的是乘呀,估值时的汇率1.1用除。老师帮忙看看逻辑正确不?
- Growth due to capital deepening 是αΔK/K还是ΔK/K
















