天堂之歌

听歌而来,送我踏青云〜

CFA二级

CFA二级

包含CFA二级传统在线课程、通关课程及试题相关提问答疑;

专场人数:2443提问数量:55533

请问R11课后题第八题要用Cobb-Douglas生产函数的哪个变形的公式呢,我不太清楚那三个变形的公式都是在什么情况下使用的,能讲解一下吗谢谢。

已回答

请问老师,在离开原公司去新公司任职时,是不可以带走在原公司写的研报(包括使用的数据),否则则违反了“记录保存”和“对雇主忠诚”这两条细则。如果现在的情形是,该员工得到原雇主的书面同意,那这种行为就不违反“对雇主忠诚”了,那是否违反“记录保存”这一条呢?请老师帮忙解释一下,谢谢!

已回答

26题wc是-122公式里是减去wc不就应该变成加上122了吗 为什么还是122

已回答

请问R11的课后第3题为什么选C呢

已回答

请问Reading11课后题第2题为什么不选A选C呢?

已回答

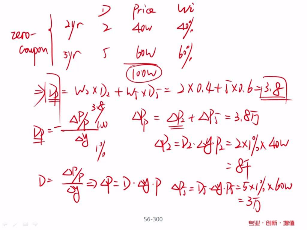
这里的久期不是麦考利的?这是modified的吧

已回答

第六题,有两种算法算scaling,这里为什么我们不用standardization,是因为数据太少了,不算normally distributed,所以才用normalization吗

已回答

call price的曲线为什么是向上的呢,这是根据什么推导出来的

已回答

你好,经典题这里,这个y的标准差计算相当复杂(从SEE推导),考试应该不要求吧

已回答

你好,经典题,那本题中给到单尾,1.69,那阴影部分面积就是5%而不是2.5%了吧

已回答

精品推荐

400-700-9596
(每日9:00-21:00免长途费 )

©2025金程网校保留所有权利

X

注册金程网校

验证码

同意金程的《用户协议》
直接登录:

已有账号登录