
-
CFA二级
包含CFA二级传统在线课程、通关课程及试题相关提问答疑;
专场人数:2443提问数量:55528
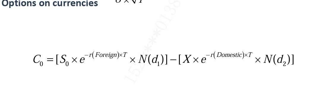
1.call option 中,图一所示,是怎么样的投资过程,用本币投资国外市场,为什么不涉及汇率兑换?2.图一call option,其d1的计算是否如图二所示?3.在cross currency swap中,假设A是美国公司,B是英国公司,支固收固,估值时,V long = PV fixed, $ - St/ S0 ×PV fixed, £,1£ = S0$, 1£ = St$, 但是这里PV fixed, £ 不是一个future value(如:1+r), 是处于t时刻,一个以英镑计价的 未来收取固定利息的债券 的现值,为什么不是直接用PV fixed, £ ×St ?
这里的分析没有用到convertible bond中的bond,那这第二种strategy光有买一个call option和short stock就能实现offset/hedge,似乎不一定要convertible bond?
精品问答
- Growth due to capital deepening 是αΔK/K还是ΔK/K
- 这题为什么是选C?
- 请老师讲解一下这个题目
- 老师,第二题可以在解释一下原理吗?
- 老师,第三题答案的意思是:1.因为宽松的货币政策,导致加元利率下跌,导致加元贬值?2.但是,如果利率下跌,也就是分母上的百分比下降,不是会导致价格上升吗?。3.从而短期看是depreciation,但是长期来看,会回归到均值,所以是appreciation?
- CDS的long和short是不是反过来的?就是long CDS代表看涨目标公司credit,所以是卖出一份CDS合约?
- 很迷惑到底是long call+ short stock还是long stock+short call构建无风险资产
- 为啥accrued interest over contract life是0?










