
-
CFA二级
包含CFA二级传统在线课程、通关课程及试题相关提问答疑;
专场人数:2443提问数量:55533
老师好,第三小问,案例中assumption提到 60 percent of future investment由equity和debt组成,在计算FCFE的时候我觉得FcInv-Dep和WcInv 应该✖️0.6,也就是说为什么不是FCFE=NI-(1-DR)✖️0.6*(WcInv+FcInv-Dep)?谢谢
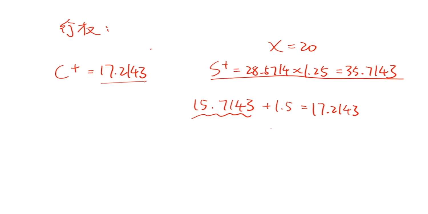
查看试题 已回答老师好,如果这个题,把条件改成“虽是美式期权,但是没有分红“,然后在up move 的 1年的时刻,比较"第二年折过来的期权价值",和"在1年时点直接行权的期权价值",如果 "1年时点直接行权的价值">"第二年折过来的期权价值",那么,可以提前行权吗?
Q4 不正确,持有现货能得到的分红增加了,相当于持有现货成本降低了。那么根据期货定价公式,期货价格=(现货价格-持有现货的收益+持有现货的成本)*(1+无风险利率) ,期货价格应该降低。
查看试题 已回答请教,Q5提到的正凸性和负凸性应该怎么理解? 我能不能简单粗暴理解为正凸性就是债券本身的抗跌性(债性),正常债券自不必说,putable债券因为有回售保护也理解为"抗跌",而callable则会无限下跌,无法抗跌,所以是负凸性?谢谢
查看试题 已回答这里提到异方差的情况下MSE增大,标准误是减小的。可是在强化班的视频里,老师在介绍用t-test检验异方差的时候说:MSE增大,标准误增大,TS减小,易取伪,所以二类错误增加。同样是MSE变大,一个地方说标准误减小,一个说增大。可以解释一下吗?
精品问答
- Growth due to capital deepening 是αΔK/K还是ΔK/K
- 这题为什么是选C?
- 请老师讲解一下这个题目
- 老师,第二题可以在解释一下原理吗?
- 老师,第三题答案的意思是:1.因为宽松的货币政策,导致加元利率下跌,导致加元贬值?2.但是,如果利率下跌,也就是分母上的百分比下降,不是会导致价格上升吗?。3.从而短期看是depreciation,但是长期来看,会回归到均值,所以是appreciation?
- CDS的long和short是不是反过来的?就是long CDS代表看涨目标公司credit,所以是卖出一份CDS合约?
- 很迷惑到底是long call+ short stock还是long stock+short call构建无风险资产
- 为啥accrued interest over contract life是0?






