
-
CFA二级
包含CFA二级传统在线课程、通关课程及试题相关提问答疑;
专场人数:2443提问数量:55533
老师这里说的有点没懂,判断远期升水或贴水的spot price是0时刻的吧,但future price converges to spot price的spot price是t时刻的呀,不同时间点的怎么能用它来判断价格的涨跌?
老师好,通过 stale price这个形成价差的原因,我感觉 NAV有点像底层资产的Bookvalue(在create ETF时,购买的股票的价格), 而ETF二级市场的 价格好像是反映底层资产的市场价格market value, 是吗?
老师好,第五点, receiving an offsetting ETF order, 对这一点我不理解,能举个具体例子吗?什么叫an offsetting ETF order? 怎么就能对冲风险了呢?
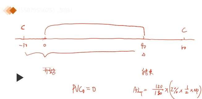
老师,我对Q3时间节点看不懂,It has been 30 days,从这个时点不应该是紧接着90天的 futures contract吗?老师画的图里多的30天是从文中哪里看出来的?响到了
精品问答
- Growth due to capital deepening 是αΔK/K还是ΔK/K
- 这题为什么是选C?
- 请老师讲解一下这个题目
- 老师,第二题可以在解释一下原理吗?
- 老师,第三题答案的意思是:1.因为宽松的货币政策,导致加元利率下跌,导致加元贬值?2.但是,如果利率下跌,也就是分母上的百分比下降,不是会导致价格上升吗?。3.从而短期看是depreciation,但是长期来看,会回归到均值,所以是appreciation?
- CDS的long和short是不是反过来的?就是long CDS代表看涨目标公司credit,所以是卖出一份CDS合约?
- 很迷惑到底是long call+ short stock还是long stock+short call构建无风险资产
- 为啥accrued interest over contract life是0?










